题目内容

一质子以1.0×107 m/s的速度与一个静止的未知核碰撞.已知质子的质量是1.67×10-27 kg,碰撞后质子以6.0×106 m/s的速度反向弹回,未知核以4.0×106 m/s的速度运动.试确定未知核的“身份”.

答案:
解析:

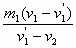
  解析:以质子和未知核组成的系统作为研究对象.它们碰撞时,系统的动量守恒.

  设质子碰撞前的运动方向为正方向,则其碰撞前的速度v1=1.0×107 m/s,碰撞后的速度=-6.0×106 m/s,质量m1=1.67×10-27 kg,设未知核的质量为碰后的速度m2,碰撞前的速度v2=0,碰撞后的速度=4.0×106 m/s.

  动量守恒定律m1v1+m2v2=m1+m2,有

  m2kg=6.68×10-27 kg

  对照元素周期表,可知该未知核是氦核.


练习册系列答案
相关题目

违法和不良信息举报电话:027-86699610 举报邮箱:58377363@163.com

精英家教网