题目内容
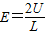
如图所示,空间内存在着相互正交的匀强电场和匀强磁场,其中匀强电场沿y轴负方向,匀强磁场垂直于xOy平面向里.图中虚线框内为由粒子源S和电压为U的加速电场组成的装置,其出口位于O点,并可作为一个整体在纸面内绕O点转动.粒子源S不断地产生质量为m、电荷量为+q的粒子(初速不计),经电场加速后从O点射出,且沿x轴正方向射出的粒子恰好能沿直线运动.不计粒子的重力及彼此间的作用力,粒子从O点射出前的运动不受外界正交电场、磁场的影响.(1)求粒子从O点射出时速度v的大小.
(2)若只撤去磁场,从O点沿x轴正方向射出的粒子刚好经过坐标为(L,
(3)若只撤去电场,要使粒子能够经过坐标为(L,0)的P点,粒子应从O点沿什么方向射出?
【答案】分析:(1)粒子在电场中加速时,电场力做功,粒子的动能增加;
(2)只有电场时,粒子在电场中做类平抛运动,水平方向匀速,竖直方向加速;
(3)电场和磁场同时存在时,洛伦兹力等于电场力;只有磁场时,粒子在磁场中做匀速圆周运动,洛伦兹力提供向心力.
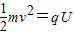
解答:解:(1)粒子在电场中加速时,电场力做功,
,
整理得:
(2)只有电场时,粒子在电场中做类平抛运动,水平方向匀速:L=vt
竖直方向:

拉力以上3公式.得:
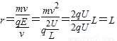
(3)电场和磁场同时存在时,洛伦兹力等于电场力;方向向上,大小:qvB=qE
得:
只有磁场时,粒子在磁场中做匀速圆周运动,洛伦兹力提供向心力.



联立以上几个公式得:
所以粒子运动的轨迹如图,在磁场中的偏转是60°,所以射入的方向与x轴的夹角是30°,如图.
答:(1)
(2)
(3)射入的方向与x轴的夹角是30°,如图.
点评:该题中,电场和磁场同时存在时,沿x轴正方向射出的粒子恰好能沿直线运动.说明了洛伦兹力等于电场力是解题的关键.要求有一定的综合判断能力.
(2)只有电场时,粒子在电场中做类平抛运动,水平方向匀速,竖直方向加速;
(3)电场和磁场同时存在时,洛伦兹力等于电场力;只有磁场时,粒子在磁场中做匀速圆周运动,洛伦兹力提供向心力.
解答:解:(1)粒子在电场中加速时,电场力做功,
整理得:
(2)只有电场时,粒子在电场中做类平抛运动,水平方向匀速:L=vt
竖直方向:
拉力以上3公式.得:
(3)电场和磁场同时存在时,洛伦兹力等于电场力;方向向上,大小:qvB=qE
得:
只有磁场时,粒子在磁场中做匀速圆周运动,洛伦兹力提供向心力.
联立以上几个公式得:
所以粒子运动的轨迹如图,在磁场中的偏转是60°,所以射入的方向与x轴的夹角是30°,如图.
答:(1)
点评:该题中,电场和磁场同时存在时,沿x轴正方向射出的粒子恰好能沿直线运动.说明了洛伦兹力等于电场力是解题的关键.要求有一定的综合判断能力.
练习册系列答案
相关题目