ÌâÄ¿ÄÚÈÝ

ÈçͼËùʾ£¬ÎªÑéÖ¤»úеÄÜÊØºã¶¨ÂɵÄʵÑéÖдò³öµÄÖ½´ø£¬ÔÚÖ½´øÉÏѡȡÁ¬ÐøµÄÎå¸ö´òÓ¡µãA¡¢B¡¢C¡¢D¡¢E£¬²â³öA¾àÆðʼµãOµÄ¾àÀëΪx£¬µãA¡¢C¼äµÄ¾àÀëΪx1£¬µãC¡¢E¼äµÄ¾àÀëΪΪx2£¬Ê¹Óý»Á÷µçµÄƵÂÊΪf£®

ÔÚʵÑéÖз¢ÏÖ£¬ÖØ´¸¼õСµÄÖØÁ¦ÊÆÄÜ×ÜÊÇ´óÓÚÖØ´¸¶¯ÄܵÄÔö¼Ó£¬ÆäÖ÷ÒªÊÇÒòΪÔÚÖØ´¸ÏÂÂäµÄ¹ý³ÌÖдæÔÚ×èÁ¦×÷Ó㬿ÉÒÔͨ¹ý¸ÃʵÑé×°ÖòâÁ¿×èÁ¦µÄ´óС£®
ÈôÒÑÖªµ±µØÖØÁ¦¼ÓËٶȹ«ÈϵĽÏ׼ȷµÄֵΪg£¬»¹ÐèÒª²âÁ¿µÄÎïÀíÁ¿ÊÇ    £®
ÊÔÓÃÕâЩÎïÀíÁ¿ºÍÖ½´øÉϵÄÊý¾Ý·ûºÅ±íʾ³öÖØ´¸ÔÚÏÂÂäµÄ¹ý³ÌÖÐÊܵ½µÄƽ¾ù×èÁ¦´óСΪF=    £®
¡¾´ð°¸¡¿·ÖÎö£ºÍ¨¹ýÖ½´ø´¦ÀíÇó³öÖØ´¸µÄ¼ÓËÙ¶È£¬¸ù¾ÝÅ£¶ÙµÚ¶þ¶¨ÂÉÇó³ö×èÁ¦µÄ´óС£®
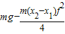
½â´ð£º½â£º¸ù¾ÝÅ£¶ÙµÚ¶þ¶¨Âɵã¬mg-F=ma
ÓÉ£¬T=£®
ÁªÁ¢½âµÃ£ºF=£®Í¨¹ý±í´ïʽ¿ÉÖª£¬Òª²âÁ¿×èÁ¦µÄ´óС£¬Ðè²âÁ¿ÖØ´¸µÄÖÊÁ¿m£®
¹Ê´ð°¸Îª£ºÖØ´¸µÄÖÊÁ¿m£¬£®
µãÆÀ£º½â¾ö±¾ÌâµÄ¹Ø¼üÕÆÎÕÅ£¶ÙµÚ¶þ¶¨ÂÉ£¬ÒÔ¼°ÖªµÀÔȱäËÙÖ±ÏßÔ˶¯ÖУ¬ÔÚÁ¬ÐøÏàµÈʱ¼äÄÚµÄÎ»ÒÆÖ®²îÊÇÒ»ºãÁ¿£®
Á·Ï°²áϵÁдð°¸
Ïà¹ØÌâÄ¿

ÈçͼΪÑéÖ¤»úеÄÜÊØºã¶¨ÂɵÄʵÑé×°ÖÃʾÒâͼ¡£ÏÖÓÐµÄÆ÷²ÄΪ£º´øÌú¼ÐµÄÌú¼Ų̈¡¢µç´Å´òµã¼ÆÊ±Æ÷¡¢Ö½´ø£¬´øÌú¼ÐµÄÖØ´¸¡£»Ø´ðÏÂÁÐÎÊÌ⣺

¢ÙΪÍê³É´ËʵÑ飬³ýÁËËù¸øµÄÆ÷²ÄÍ⣬»¹ÐèÒªµÄÆ÷²ÄÓÐ________(ÌîÕýÈ·Ñ¡ÏîǰµÄ×Öĸ)

A£®ºÁÃ׿̶ȳߠ             B£®»úеÃë±í

C£®4¡«6VµÄÖ±Á÷µçÔ´        D£®4¡«6VµÄ½»Á÷µçÔ´

¢ÚÏÂÃæÁоÙÁ˸ÃʵÑéµÄ¼¸¸ö²Ù×÷²½Ö裺

A£®°´ÕÕͼʾµÄ×°Öð²×°Æ÷²Ä

B£®½«´òµã¼ÆÊ±Æ÷½Óµ½µçÔ´µÄ¡°½»Á÷Êä³ö¡±ÉÏ

C£®·Å¿ªÖ½´øºó£¬½ÓͨµçÔ´£¬Ê¹¼ÆÊ±Æ÷ÔÚÖ½´øÉÏ´ò³öµã¼£

D£®²âÁ¿Ö½´øÉÏËùÑ¡¼ÆÊýµã¼äµÄ¾àÀë

E£®¸ù¾Ý²âÁ¿µÄ½á¹ûÑéÖ¤ÖØ´¸Ï½µ¹ý³ÌÖлúеÄÜÊÇ·ñÊØºã

ÒÔÉϲÙ×÷Ò»¶¨ÓÐÎóµÄÒ»¸ö²½ÖèÊÇ___________(ÌîÕýÈ·Ñ¡ÏîǰµÄ×Öĸ)

¢Û¸ù¾Ý´ò³öµÄÖ½´ø£¬¿ÉÒÔ¼ä½Ó²â³ö¼ÆÊ±Æ÷´òÏÂijµãʱËù¶ÔÓ¦µÄÖ½´øËÙ¶È´óС£¬Ñ¡È¡Ö½´øÉÏÁ¬ÐøµÄÎå¸öµãA¡¢B¡¢C¡¢D¡¢E£¬²â³ö¸÷µãÖ®¼äµÄ¾àÀëÈçͼËùʾ¡£ËùʹÓý»Á÷µçµÄƵÂÊΪf£¬Ôò¼ÆËã´òϵãC ʱֽ´øµÄËÙ¶Èv£½_____________(ÓÃx1¡¢x2¡¢x3¡¢x4¼°f±íʾ)

£¨13·Ö£©£¨1£©ÔÚÎïÀíʵÑéÖÐÌåÏÖÁ˺ܶàµÄÎïÀíÑо¿·½·¨£¬ÈçÀíÏëʵÑé·¨¡¢¿ØÖƱäÁ¿·¨¡¢¼«ÏÞ˼ά·¨¡¢Í¼Ïñ·¨¡¢Àà±È·¨¡¢¿ÆÑ§¼Ù˵·¨¡¢Î¢Ð¡Á¿·Å´ó·¨ÓëµÈÐ§Ìæ´ú·¨µÈ¡£Çë°ÑºÏÊʵķ½·¨»òÕýÈ·µÄ´ð°¸ÌîÔÚÏàÓ¦µÄ¿Õ¸ñÄÚ¡£

¢ÙÔÚ¡°ÀûÓôòµã¼ÆÊ±Æ÷²âËÙ¶È¡±µÄʵÑéÖУ¬ÔËÓà     ·¨£¬¿ÉÒÔÀûÓôòµã¼ÆÊ±Æ÷´ò³öµÄÖ½´ø²âËã³öijµãµÄ˲ʱËÙ¶È£ºÔÚ¡°Ì½¾¿»¥³É½Ç¶ÈµÄÁ½¸öÁ¦µÄºÏ³É¡±µÄʵÑéÖУ¬·Ö±ðÓÃÒ»¸öÁ¦F»òÁ½¸ö»¥³É½Ç¶ÈµÄF1¡¢F2£¬°ÑÒ»¸öÒ»¶Ë¹Ì¶¨µÄÏðÆ¤½îÀ­É쵽ͬһλÖã¬ÔòF¾ÍÊÇF1ºÍF2µÄºÏÁ¦£¬ÊµÑéÔ­Àí²ÉÓõÄÊÇ        ·¨¡£ÔÚ¡°Ì½¾¿Æ½Å×Ô˶¯µÄ¹æÂÉ¡±µÄʵÑéÖУ¬ÈçͼËùʾ£¬ÓÃС´¸´ò»÷µ¯ÐÔ½ðÊôƬ£¬½ðÊôƬ°ÑAÇòÑØË®Æ½·½ÏòÅ׳ö£¬Í¬Ê±BÇòËÉ¿ª£¬×ÔÓÉÏÂÂ䣬A¡¢BÁ½Çòͬʱ¿ªÊ¼Ô˶¯£¬¹Û²ìµ½Á½ÇòͬʱÂ䵨¡£ÔËÓà     ·¨£¬¿ÉÒÔÅж¨Æ½Å×Ô˶¯ÔÚÊúÖ±·½ÏòÉϵķÖÔ˶¯ÊÇ×ÔÓÉÂäÌåÔ˶¯¡£

¢ÚͼÏó·¨ÊÇÎïÀíʵÑéÖÐÒ»ÖÖÖØÒªµÄÑо¿·½·¨¡£ÔÚÑо¿¼ÓËÙ¶ÈÓëÍâÁ¦£¨ÖÊÁ¿mÒ»¶¨£©µÄ¹ØÏµ¡¢ÑéÖ¤»úеÄÜÊØºã¶¨ÂÉ¡¢Ì½¾¿µ¯Á¦´óСÓ뵯»ÉÉ쳤Á¿Ö®¼äµÄ¹ØÏµÈý¸öʵÑéÖУ¬Ä³Í¬Ñ§ÕýÈ·×÷³öÁËÈý¸öʵÑéµÄÏà¹ØÍ¼Ïó£¬ÈçͼÖÐA¡¢B¡¢CËùʾ¡£¸ù¾Ý×ø±êÖá´ú±íµÄÎïÀíÁ¿Åжϣ¬AʵÑéµÄͼÏó¡°Ð±ÂÊ¡±±íʾ          £»BʵÑéͼÏóµÄ¡°Ð±ÂÊ¡±±íʾ           £»CʵÑéͼÏóµÄ¡°Ð±ÂÊ¡±±íʾ            ¡£

£¨2£©Ä³Ò»Ð¡Ð͵ç·çÉȶµçѹΪ4.0V£¬¶î¶¨¹¦ÂÊΪ2.4W¡£Ä³ÊµÑéС×éÏëͨ¹ýʵÑéÃè»æ³öСµç·çÉȵķü°²ÌØÐÔÇúÏß¡£ÊµÑéÖгýµ¼ÏߺͿª¹ØÍ⣬»¹ÓÐÒÔÏÂÆ÷²Ä¿É¹©Ñ¡Ôñ£º

A£®µçÔ´E£¨µç¶¯ÊÆÎª4.5V£©                             

B£®µçѹ±íV£¨Á¿³ÌΪ0¡«5V£¬ÄÚ×èԼΪ4k£©

C£®µçÁ÷±íA1£¨Á¿³ÌΪ0¡«0.6A£¬ÄÚ×èԼΪ0.2£©

D£®µçÁ÷±íA2(Á¿³Ì3A£¬ÄÚ×èÔ¼0.05);

E£®»¬¶¯±ä×èÆ÷R1£¨×î´ó×èÖµ10,¶î¶¨µçÁ÷1A£©

F£®»¬¶¯±ä×èÆ÷R2£¨×î´ó×èÖµ2k,¶î¶¨µçÁ÷100mA£©

¢ÙΪÁ˱ãÓÚµ÷½Ú£¬¼õС¶ÁÊýÎó²îºÍϵͳÎó²î£¬ÊµÑéÖÐËùÓõçÁ÷±íӦѡÓà  £¬»¬¶¯±ä×èÆ÷ӦѡÓà    ¡££¨ÌîËùÑ¡ÒÇÆ÷ǰµÄ×ÖĸÐòºÅ£©¡£

¢ÚÇëÄãΪ¸ÃС×éÉè¼ÆÊµÑéµç·£¬²¢°Ñµç·ͼ»­ÔÚÐéÏßÄÚ£¨Ð¡µç·çÉȵĵç··ûºÅÈçͼËùʾ£©¡£

¢Û²Ù×÷¹ý³ÌÖз¢ÏÖ£¬Ð¡µç·çÉÈͨµçºóÊÜ×èÁ¦×÷Ó㬵çѹ±í¶ÁÊýСÓÚ0.5Vʱµç·çÉÈûÆô¶¯¡£¸ÃС×é²â»æ³öµÄСµç·çÉȵķü°²ÌØÐÔÇúÏßÈçͼËùʾ£¬ÓÉ´Ë¿ÉÒÔÅж¨£¬Ð¡µç·çÉȵĵç×èΪ     £¬Õý³£¹¤×÷ʱµÄ·¢Èȹ¦ÂÊΪ    £¬»úе¹¦ÂÊΪ    ¡£

 

Î¥·¨ºÍ²»Á¼ÐÅÏ¢¾Ù±¨µç»°£º027-86699610 ¾Ù±¨ÓÊÏ䣺58377363@163.com

¾«Ó¢¼Ò½ÌÍø