题目内容

(15分)如图所示,在直角坐标系xoy的第一、四象限区域内存在两个有界的匀强磁场:垂直纸面向外的匀强磁场Ⅰ、垂直纸面向里的匀强磁场Ⅱ,O、M、P、Q为磁场边界和x轴的交点,OM=MP=L.在第三象限存在沿y轴正向的匀强电场. 一质量为带电量为的带电粒子从电场中坐标为(-2L,-L)的点以速度v0沿+x方向射出,恰好经过原点O处射入区域Ⅰ又从M点射出区域Ⅰ(粒子的重力忽略不计)

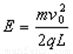
(1)求第三象限匀强电场场强E的大小;

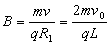
(2)求区域Ⅰ内匀强磁场磁感应强度B的大小;

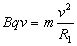
(3)如带电粒子能再次回到原点O,问区域Ⅱ内磁场的宽度至少为多少?粒子两次经过原点O的时间间隔为多少?

 

【答案】

(1)       (2)          (3)

【解析】

试题分析:(1)带电粒子在匀强电场中做类平抛运动:粒子沿x轴正方向的位移:      ① 

粒子沿电场方向的位移:                ②

联立①②式得:        

(2)设到原点时带电粒子的竖直分速度为:

   把③式代入得:

则合速度:     方向与轴正向成角          (1分)

粒子进入区域Ⅰ做匀速圆周运动,由几何知识可得:           (1分)

由洛伦兹力充当向心力:           (1分),

可解得:      (1分)

(3)运动轨迹如图,在区域Ⅱ做匀速圆周的半径为:       (1分)

         (1分) 

运动时间:              (1分),

                 (1分),

        (1分)

           (1分)

考点:本题考查带电粒子在混合场中的运动。

 

练习册系列答案
相关题目

违法和不良信息举报电话:027-86699610 举报邮箱:58377363@163.com

精英家教网