题目内容
一架军用直升机悬停在距离地面64m的高处,将一箱军用物资由静止开始投下,如果不打开物资上的自动减速伞,物资经4s落地.为了防止物资与地面的剧烈撞击,须在物资距离地面一定高度时将物资上携带的自动减速伞打开.已知物资接触地面的安全限速为2m/s,减速伞打开后物资所受空气阻力是打开前的18倍.减速伞打开前后的阻力各自大小不变,忽略减速伞打开的时间,取g=10m/s2.求(1)减速伞打开前物资受到的空气阻力为自身重力的多少倍?
(2)减速伞打开时物资离地面的高度至少为多少?
【答案】分析:(1)设物资质量为m,不打开伞的情况下,由运动学公式求得加速度,根据牛顿第二定律即可求解;
(2)设物资落地速度恰为v=2m/s,减速伞打开时的高度为h,开伞时的速度为v,由牛顿第二定律和运动学公式即可求解.
解答:解:(1)设物资质量为m,不打开伞的情况下,由运动学公式和得
解得 a1=8m/s2
根据牛顿第二定律得:mg-f=ma1
解得 f=0.2mg
(2)设物资落地速度恰为v=2m/s,减速伞打开时的高度为h,开伞时的速度为v,
由牛顿第二定律得18f-mg=ma2
解得 a2=26m/s2
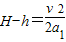
运动学公式得:
,

解得 h=15m
答:(1)减速伞打开前物资受到的空气阻力为自身重力的0.2倍;
(2)减速伞打开时物资离地面的高度至少为15m.
点评:复杂运动过程都是由简单过程组成的,因此解答复杂运动问题,关键是分析清楚其运动过程,搞清运动形式,然后根据相应规律列方程求解.
(2)设物资落地速度恰为v=2m/s,减速伞打开时的高度为h,开伞时的速度为v,由牛顿第二定律和运动学公式即可求解.
解答:解:(1)设物资质量为m,不打开伞的情况下,由运动学公式和得
解得 a1=8m/s2
根据牛顿第二定律得:mg-f=ma1
解得 f=0.2mg
(2)设物资落地速度恰为v=2m/s,减速伞打开时的高度为h,开伞时的速度为v,
由牛顿第二定律得18f-mg=ma2
解得 a2=26m/s2
运动学公式得:
解得 h=15m
答:(1)减速伞打开前物资受到的空气阻力为自身重力的0.2倍;
(2)减速伞打开时物资离地面的高度至少为15m.
点评:复杂运动过程都是由简单过程组成的,因此解答复杂运动问题,关键是分析清楚其运动过程,搞清运动形式,然后根据相应规律列方程求解.
练习册系列答案
相关题目