题目内容
在测定匀变速直线运动加速度的实验中,选定一条纸带如图所示,从0点开始 每5个点取一个计数点的纸带,其中0、1、2、3、4、5、6都为记数点.测得:x1=1.40cm,x2=1.90cm,x3=2.38cm,x4=2.88cm,x5=3.39cm,x6=3.87cm.(1)在计时器打出点4时,小车的速度分别为:v4=______cm/s.
(2)该匀变速直线运动的加速度的表达式为a=______,大小a=______cm/s2.(结果保留三位有效数字)
【答案】分析:根据匀变速直线运动中时间中点的速度等于该过程中的平均速度,可以求出打纸带上4点时小车的瞬时速度大小.
根据匀变速直线运动的推论公式△x=aT2可以求出加速度的大小.
解答:解:(1)由于其中两相邻计数点间有四个点未画出,所以相邻的计数点间的时间间隔T=0.1s,
根据匀变速直线运动中时间中点的速度等于该过程中的平均速度,可以求出打纸带上4点时小车的瞬时速度大小;
v4=
=31.35cm/s
根据匀变速直线运动的推论公式△x=aT2可以求出加速度的大小,
得:x4-x1=3a1T2
x5-x2=3a2T2
x6-x3=3a3T2
为了更加准确的求解加速度,我们对三个加速度取平均值
得:a=
(a1+a2+a3)
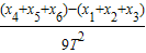
即小车运动的加速度计算表达式为:a=
a=
=49.6cm/s2
故答案为:(1)31.35 (2)a=
49.6
点评:要提高应用匀变速直线的规律以及推论解答实验问题的能力,在平时练习中要加强基础知识的理解与应用.
根据匀变速直线运动的推论公式△x=aT2可以求出加速度的大小.
解答:解:(1)由于其中两相邻计数点间有四个点未画出,所以相邻的计数点间的时间间隔T=0.1s,
根据匀变速直线运动中时间中点的速度等于该过程中的平均速度,可以求出打纸带上4点时小车的瞬时速度大小;
v4=
根据匀变速直线运动的推论公式△x=aT2可以求出加速度的大小,
得:x4-x1=3a1T2
x5-x2=3a2T2
x6-x3=3a3T2
为了更加准确的求解加速度,我们对三个加速度取平均值
得:a=
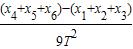
即小车运动的加速度计算表达式为:a=
a=
故答案为:(1)31.35 (2)a=
点评:要提高应用匀变速直线的规律以及推论解答实验问题的能力,在平时练习中要加强基础知识的理解与应用.
练习册系列答案
相关题目