题目内容

如图所示,平行板电容器与电动势为E的直流电源(内阻不计)连接,下极板接地。一带电油滴位于容器中的P点且恰好处于平衡状态。现将平行板电容器的上极板竖直向上移动一小段距离(      )

A.带点油滴将沿竖直方向向上运动 

B.若电容器的电容减小,则极板带电量将增大

C.带电油滴的电势能将减少

D.P点的电势将降低

 

【答案】

D

【解析】

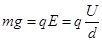
试题分析:据题意,由于油滴处于静止状态,据物体平衡条件有:,由于两极板与电源相接,两极板电压不变,当上极板上移时,距离d增加,将出现:,油滴向下运动;则A选项错误;据,如果电容减小则极板电荷量将减小,故B选项错误;油滴向下运动电场力做负功,电势能增加,故C选项错误;由于d增加据,将导致两极板间的场强减小,而P点与下极板距离x不变,据,故P点电势减小,D选项正确。

考点:本题考查电容器原理、电容器动态平衡、电势与电势差关系以及电势能。

 

练习册系列答案
相关题目

违法和不良信息举报电话:027-86699610 举报邮箱:58377363@163.com

精英家教网