题目内容

热敏电阻是传感电路中常用的电子元件,现在伏安法研究热敏电阻在不同温度下的伏安特性曲线,要求特性曲线尽可能完整。已知常温下待测热敏电阻的阻值约40Ω~50Ω。热敏电阻和温度计插入带塞的保温杯中,杯内有一定量的冷水,其他备用的仪表和器具有:盛有热水的水瓶(图中未画出)、电源(3V、内阻可忽略)、直流电流表(内阻约1)、直流电压表(内阻约5kΩ)、滑动变阻器(0~10)、开关、导线若干。

?图中,a、b、c三条图线能反映出热敏电阻的伏安特性的曲线是         

?在答题纸的虚线框中画出实验电路图(热敏电阻在虚线框中已画出),要求测量误差尽可能小。

?根据电路图,在答题纸中的实物图上连线。

【答案】

(1)?C、E(1分) 毫米刻度尺(1分) ?打点计时器(1分) 天平(1分) ?见解析(2分)  (2)?C(2分)    ?见解析(2分)      ?见解析(3分)

【解析】

试题分析:(1)?计算小车速度是利用打上点的纸带,故不需要秒表。打点计时器应使用低压交流电源,故多余的器材是C、E;

测量点与点之间的距离要用毫米刻度尺,故缺少的器材是毫米刻度尺。

?测量时间的工具是打点计时器;测量质量的工具是天平。

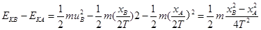
?能。从A到B的过程中,恒力做的功为WAB=FxAB 物体动能的变量为

只要验证即可

优点:A、B两点的距离较远,测量时的相对误羞较小;

缺点:只进行了一次测量验证,说服力不强。

(2)?热敏电阻随温度的升高,阻值减小,而I-U图线中,任一点的,可见c正确。

?热敏电阻约40Ω~50Ω。由电压表、电流表内阻知临界阻值,即热敏电阻属小电阻,应用“外接法”,因要描绘伏安特性曲线,电压从0开始连续变化。因此用滑动变阻器的“分压式”接法,电路图如图所示。

考点:考查了“探究恒力做功与物体的动能改变量的关系”的实验以及研究热敏电阻福安特性曲线实验

点评:电学实验是高中学生学习的一个难点,仪器的选择,滑动变阻器的接法,电流表的接法,需要多积累,灵活应用

 

练习册系列答案
相关题目

违法和不良信息举报电话:027-86699610 举报邮箱:58377363@163.com

精英家教网