题目内容

某人站在自动扶梯上,经时间从一楼升至二楼,如果电动扶梯不动,此人沿着扶梯从一楼走至二楼所用时间为;现使扶梯正常运动,人也保持原来的速度向上走,则人从一楼到二楼的时间是

[  ]

A

B

C

D

答案:B
解析:

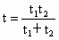
人在运行的扶梯上向上走的实际速度是人相对扶梯的速度与扶梯运行速度的合速度.

设从楼下到楼上在扶梯方向上的位移为s,扶梯静止时人相对扶梯的速度为,则,设扶梯运行的速度是,则,若人以原来的速度沿着正常运行的扶梯向上走,所用时间,解式①②③可得


练习册系列答案
相关题目

违法和不良信息举报电话:027-86699610 举报邮箱:58377363@163.com

精英家教网