ÌâÄ¿ÄÚÈÝ

ÈçͼËùʾ£¬¹Ì¶¨µÄ°¼²Ûˮƽ±íÃæ¹â»¬£¬ÆäÄÚ·ÅÖÃUÐλ¬°åN£¬»¬°åÁ½¶ËΪ°ë¾¶R£½0.45 mµÄ1/4Ô²»¡Ã棬AºÍD·Ö±ðÊÇÔ²»¡µÄ¶Ëµã£¬BC¶Î±íÃæ´Ö²Ú£¬ÆäÓà¶Î±íÃæ¹â»¬£®Ð¡»¬¿éP1ºÍP2µÄÖÊÁ¿¾ùΪm£¬»¬°åµÄÖÊÁ¿M£½4m£®P1ºÍP2ÓëBCÃæµÄ¶¯Ä¦²ÁÒòÊý·Ö±ðΪ¦Ì1£½0.10ºÍ¦Ì2£½0.40£¬×î´ó¾²Ä¦²ÁÁ¦½üËÆµÈÓÚ»¬¶¯Ä¦²ÁÁ¦£®¿ªÊ¼Ê±»¬°å½ô¿¿²ÛµÄ×ó¶Ë£¬P2¾²Ö¹ÔÚ´Ö²ÚÃæµÄBµã£®P1ÒÔv0£½4.0 m/sµÄ³õËÙ¶È´ÓAµãÑØ»¡Ãæ×ÔÓÉ»¬Ï£¬ÓëP2·¢Éúµ¯ÐÔÅöײºó£¬P1´¦ÔÚ´Ö²ÚÃæBµãÉÏ£®µ±P2»¬µ½Cµãʱ£¬»¬°åÇ¡ºÃÓë²ÛµÄÓÒ¶ËÅöײ²¢ÀιÌÕ³Á¬£¬P2¼ÌÐø»¬¶¯£¬µ½´ïDµãʱËÙ¶ÈΪÁ㣮P1ÓëP2ÊÓΪÖʵ㣬ȡg£½10 m/s2£¬ÎÊ£º

(1)P1ÔÚBC¶ÎÏòÓÒ»¬¶¯Ê±£¬»¬°åµÄ¼ÓËÙ¶ÈΪ¶à´ó£¿

(2)BC³¤¶ÈΪ¶àÉÙ£¿N¡¢P1¡¢P2×îÖÕ¾²Ö¹ºó£¬P1ÓëP2¼äµÄ¾àÀëΪ¶àÉÙ£¿

´ð°¸£º
½âÎö£º

¡¡¡¡½â£º(1)P1»¬µ½×îµÍµãËÙ¶ÈΪ£¬ÓÉ»úеÄÜÊØºã¶¨ÂÉÓУº

¡¡¡¡£¬½âµÃ£º

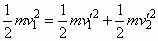
¡¡¡¡P1¡¢P2Åöײ£¬Âú×㶯Á¿Êغ㣬»úеÄÜÊØºã¶¨ÂÉ£¬ÉèÅöºóËÙ¶È·Ö±ðΪ¡¢

¡¡¡¡£¬

¡¡¡¡½âµÃ£º£¬£½5 m/s

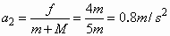
¡¡¡¡P2ÏòÓÒ»¬¶¯Ê±£¬¼ÙÉèP1±£³Ö²»¶¯£¬¶ÔP2ÓУº(Ïò×ó)

¡¡¡¡¶ÔP1¡¢MÓУº£¬

¡¡¡¡´Ëʱ¶ÔP1ÓУº£¬ËùÒÔ¼ÙÉè³ÉÁ¢£®

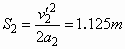
¡¡¡¡(2)P2»¬µ½CµãËÙ¶ÈΪ£¬ÓÉ£¬µÃ

¡¡¡¡P1¡¢P2Åöײµ½P2»¬µ½Cµãʱ£¬ÉèP1¡¢MËÙ¶ÈΪv£¬¶Ô¶¯Á¿Êغ㶨ÂÉ£º

¡¡¡¡£¬½âµÃ£º

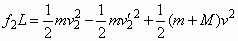
¡¡¡¡¶ÔP1¡¢P2¡¢MΪϵͳ£º

¡¡¡¡´úÈëÊýÖµµÃ£º

¡¡¡¡»¬°åÅöºó£¬P1ÏòÓÒ»¬ÐоàÀ룺

¡¡¡¡P2Ïò×ó»¬ÐоàÀ룺


Á·Ï°²áϵÁдð°¸
Ïà¹ØÌâÄ¿

Î¥·¨ºÍ²»Á¼ÐÅÏ¢¾Ù±¨µç»°£º027-86699610 ¾Ù±¨ÓÊÏ䣺58377363@163.com

¾«Ó¢¼Ò½ÌÍø