题目内容

两颗小行星都绕太阳做圆周运动,它们的周期分别是T和3T,则

[  ]

A.它们绕太阳运动的向心加速度之比

B.它们绕太阳运动的轨道半径之比为

C.它们绕太阳运动的速度之比

D.它们受太阳的引力之比为

答案:ABC
解析:

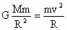
,则

本题应先求出两行星轨道半径之比

又根据,则

向心加速度,则

由于两颗小行星质量大小未知,故不能确定引力之比.

综上分析ABC选项正确.


练习册系列答案
相关题目

违法和不良信息举报电话:027-86699610 举报邮箱:58377363@163.com

精英家教网