ÌâÄ¿ÄÚÈÝ

£¨1£©Èçͼ£¬ÔÚ¡°ÓÃË«·ì¸ÉÉæ²â¹âµÄ²¨³¤¡±ÊµÑéÖУ¬¹â¾ß×ùÉÏ·ÅÖõĹâѧԪ¼þÒÀ´ÎΪ£¨   £©

A£®¢Ù¹âÔ´¡¢¢Ú ÂË¹âÆ¬¡¢¢Û µ¥·ì¡¢ ¢Ü Ë«·ê ¡¢ ¢ÝÕÚ¹âͲ¡¢¢Þ¹âÆÁ.
B£®¢Ù¹âÔ´¡¢¢Úµ¥·ì¡¢ ¢ÛÂË¹âÆ¬¡¢¢Ü Ë«·ê¡¢ ¢ÝÕÚ¹âͲ¡¢¢Þ¹âÆÁ.
C£®¢Ù¹âÔ´¡¢¢Ú ÂË¹âÆ¬¡¢¢ÛË«·ê¡¢ ¢Ü µ¥·ì¡¢ ¢ÝÕÚ¹âͲ¡¢¢Þ¹âÆÁ.
D£®¢Ù¹âÔ´¡¢¢Úµ¥·ì¡¢ ¢ÛË«·ê¡¢ ¢ÜÂË¹âÆ¬¡¢ ¢ÝÕÚ¹âͲ¡¢¢Þ¹âÆÁ.

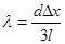
£¨2£© ij´ÎʵÑéʱ£¬¸Ãͬѧµ÷½Ú·Ö»®°åµÄλÖã¬Ê¹·Ö»®°åÖÐÐÄ¿ÌÏß¶ÔÆëijÁÁÎÆµÄÖÐÐÄ£¬ÈçͼËùʾ£¬´ËʱÂÝÐý²â΢Æ÷µÄ¶ÁÊýΪ         mm£®×ª¶¯ÊÖÂÖ£¬Ê¹·Ö»®ÏßÏòÒ»²àÒÆ¶¯µ½ÁíÒ»ÌõÁÁÎÆµÄÖÐÐÄλÖã¬ÔٴδÓÂÝÐý²â΢Æ÷É϶ÁÊý¡£ÈôʵÑé²âµÃ4ÌõÁÁÎÆÖÐÐļäµÄ¾àÀëΪ¡÷x=0.960mm£¬ÒÑ֪˫·ì¼ä¾àΪd=1.5mm£¬Ë«·ìµ½ÆÁµÄ¾àÀëΪL=1.00m£¬Ôò¹â²¨²¨³¤¹«Ê½            £¬¶ÔÓ¦µÄ¹â²¨²¨³¤            £®

£¨1£©A  £¨2£©2.270£¬ £¬480nm

½âÎö

Á·Ï°²áϵÁдð°¸
Ïà¹ØÌâÄ¿
I£®ÈçͼËùʾÊÇÓÃË«·ì¸ÉÉæ²â¹âµÄ²¨³¤µÄʵÑéÉ豸ʾÒâͼ£®ÔÚij´ÎʵÑéÖУ¬ÒÑ֪˫·ìµ½¹âÆÁÖ®¼äµÄ¾àÀëÊÇ600mm£¬Ë«·ìÖ®¼äµÄ¾àÀëÊÇ0.20mm£¬µ¥·ìµ½Ë«·ìÖ®¼äµÄ¾àÀëÊÇ100mm£¬Ä³Í¬Ñ§ÔÚÓòâÁ¿Í·²âÁ¿Ê±£¬ÏȽ«²âÁ¿Í·Ä¿¾µÖп´µ½µÄ·Ö»®°åÖÐÐÄ¿ÌÏß¶Ô׼ijÌõÁÁÎÆ£¨¼Ç×÷µÚ1Ìõ£©µÄÖÐÐÄ£¬ÕâʱÊÖÂÖÉϵÄʾÊýÈçͼaËùʾ£®È»ºóËûת¶¯²âÁ¿Í·£¬Ê¹·Ö»®°åÖÐÐÄ¿ÌÏß¶Ô×¼µÚ7ÌõÁÁÎÆÖÐÐÄ£¬ÕâʱÊÖÂÖÉϵÄʾÊýÈçͼbËùʾ£¬Í¼bÖÐʾÊý
10.293¡«10.298
10.293¡«10.298
mm£®ÓÉ´Ë¿ÉÒÔ¼ÆËã³öÕâ´ÎʵÑéÖÐËù²âµÃµÄµ¥É«¹â²¨³¤Îª
5.2¡«5.6¡Á10-7
5.2¡«5.6¡Á10-7
m£®£¨¼ÆË㲨³¤½á¹û±£Áô¶þλÓÐЧÊý×Ö£©£®

II£®Ôڲⶨһ½Ú¸Éµç³ØµÄµç¶¯ÊƺÍÄÚµç×èµÄʵÑéÖУ¬±¸ÓÐÏÂÁÐÆ÷²Ä£º
A£®´ý²âµÄ¸Éµç³Ø£¨µç¶¯ÊÆÔ¼Îª1.5V£¬ÄÚµç×èСÓÚ1.0¦¸£©
B£®µçÁ÷±íG£¨ÂúÆ«µçÁ÷3mA£¬ÄÚ×èRG=10¦¸£©
C£®µçÁ÷±íA£¨0¡«0.6A£¬ÄÚ×è0.1¦¸£©
D£®»¬¶¯±ä×èÆ÷R1£¨0¡«20¦¸£¬10A£©
E£®»¬¶¯±ä×èÆ÷R2£¨0¡«200¦¸£¬1A£©
F£®¶¨Öµµç×èR0£¨990¦¸£©
G£®¿ª¹ØºÍµ¼ÏßÈô¸É
£¨1£©Ä³Í¬Ñ§·¢ÏÖÉÏÊöÆ÷²ÄÖÐËäȻûÓеçѹ±í£¬µ«¸ø³öÁËÁ½¸öµçÁ÷±í£¬ÓÚÊÇËûÉè¼ÆÁËÈçͼ¼×ËùʾÖеÄa¡¢bÁ½¸ö²Î¿¼ÊµÑéµç·£¬
ÆäÖкÏÀíµÄÊÇ
b
b
£»Ôڸõç·ÖУ¬ÎªÁ˲Ù×÷·½±ãÇÒÄÜ׼ȷ½øÐвâÁ¿£¬»¬¶¯±ä×èÆ÷Ӧѡ
D
D
£¨ÌîдÆ÷²Ä֮ǰµÄ×Öĸ´úºÅ£©£®
£¨2£©Í¼ÒÒΪ¸Ãͬѧ¸ù¾Ý£¨1£©ÖÐÑ¡³öµÄºÏÀíµÄʵÑéµç·ÀûÓòâ³öµÄÊý¾Ý»æ³öµÄI1-I2ͼÏߣ¨I1ΪµçÁ÷±íGµÄʾÊý£¬I2ΪµçÁ÷±íAµÄʾÊý£©£¬ÔòÓÉͼÏß¿ÉµÃµç³ØµÄµç¶¯ÊÆE=
1.48¡À0.02
1.48¡À0.02
V£¬ÄÚ×èr=
0.75¡«0.84
0.75¡«0.84
¦¸£®

Î¥·¨ºÍ²»Á¼ÐÅÏ¢¾Ù±¨µç»°£º027-86699610 ¾Ù±¨ÓÊÏ䣺58377363@163.com

¾«Ó¢¼Ò½ÌÍø