题目内容

如图所示,A、B、C三物体的质量分别为,带有滑轮的C放在光滑的水平面上,细绳质量及一切摩擦均不计,为使三物体无相对运动,试求水平推力F的大小?

答案:略
解析:

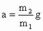
解:设系统运动的加速度为a,绳的弹力为T,先隔离分析.

B,由平衡条件得:

.①

A,由牛顿第二定律得:

.②

由①②得:

再取整体研究,由牛顿第二定律得:


练习册系列答案
相关题目

违法和不良信息举报电话:027-86699610 举报邮箱:58377363@163.com

精英家教网