题目内容
我国未来将在月球地面上建立月球基地,并在绕月轨道上建造空间站.如图所示,关闭发动机的航天飞机A在月球引力作用下沿椭圆轨道向月球靠近,并将在椭圆轨道的近月点B处与空间站C对接.已知空间站绕月圆轨道的半径为r,周期为T,万有引力常量为G,月球的半径为R.下列说法正确的是( )A.要使对接成功,飞机在接近B点时必须减速
B.航天飞机在图示位置正在加速向B运动
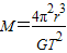
C.月球的质量为
D.月球的第一宇宙速度为
【答案】分析:要使航天飞机在椭圆轨道的近月点B处与空间站C对接,必须在接近B点时减速.根据开普勒定律可知,航天飞机向近月点运动时速度越来越大.月球对航天飞机的万有引力提供其向心力,由牛顿第二定律求出月球的质量M.月球的第一宇宙速度大于
.
解答:解:A、要使航天飞机在椭圆轨道的近月点B处与空间站C对接,必须在接近B点时减速.否则航天飞机将继续做椭圆运动.故A正确.
B、根据开普勒定律可知,航天飞机向近月点B运动时速度越来越大.故B正确.
C、设空间站的质量为m,由
得,
.故C正确.
D、空间站绕月圆轨道的半径为r,周期为T,其运行速度为
,其速度小于月球的第一宇宙速度,所以月球的第一宇宙速度大于
.故D错误.
故选ABC
点评:本题是开普勒定律与牛顿第二定律的综合应用,对于空间站的运动,关键抓住由月球的万有引力提供向心力,要注意知道空间站的半径与周期,求出的不是空间站的质量,而是月球的质量.
解答:解:A、要使航天飞机在椭圆轨道的近月点B处与空间站C对接,必须在接近B点时减速.否则航天飞机将继续做椭圆运动.故A正确.
B、根据开普勒定律可知,航天飞机向近月点B运动时速度越来越大.故B正确.
C、设空间站的质量为m,由
D、空间站绕月圆轨道的半径为r,周期为T,其运行速度为
故选ABC
点评:本题是开普勒定律与牛顿第二定律的综合应用,对于空间站的运动,关键抓住由月球的万有引力提供向心力,要注意知道空间站的半径与周期,求出的不是空间站的质量,而是月球的质量.
练习册系列答案
相关题目
我国2007年10月24日发射的“嫦娥一号”月球卫星经过四次变轨后其绕地球运行的椭圆轨道的远地点D靠近了距地面38万公里的月球轨道.我国未来将建立月球基地,并在绕月轨道上建造空间站,如图所示.要和空间站对接的航天飞机关闭动力,在月球引力作用下经椭圆轨道向月球靠近,并将与空间站在E处对接.已知空间站绕月轨道半径为r,周期为T,万有引力常量为G,下列说法中正确的是( )

| A、图中航天飞机在飞向E处的过程中,月球引力做正功,所以在E处由椭圆轨道可直接进入空间站圆周轨道,不需要变速 | B、如果忽略月球引力的影响,“嫦娥一号”通过远地点A,B,C,D时,在D点线速度最大,加速度最小 | C、根据题中条件可以算出月球质量 | D、如果忽略月球引力的影响,“嫦娥一号”通过远地点A,B,C,D时,和地球系统所决定的机械能,A点最大,D点最小 |