题目内容
如图1所示是某同学探究小车加速度与力的关系的实验装置,他将光电门固定在水平轨道上的B点,用不同重物通过细线拉同一小车,每次小车都从同一位置A由静止释放.(1)若用10分度的游标卡尺测出遮光条的左右方向的宽度d,如图2所示,则宽度为______mm,实验时将小车从图示位置由静止释放,由数字计时器读出遮光条通过光电门的时间△t,则小车经过光电门时的速度为v=______(用字母表示).
(2)测出多组重物的质量m和对应遮光条通过光电门的时间△t,通过描点作出线性图象,研究小车加速度与力的关系.处理数据时应作出______图象.
A.△t-m B.△t2-m C.
(3)有一位同学通过实验测量作出的图线如图3所示,试分析①线不通过坐标原点的原因是______;②图线上部弯曲的原因是______.
【答案】分析:(1)游标卡尺的读数等于主尺读数加上游标读数,不需估读,由于遮光条通过光电门的时间极短,可以用平均速度表示瞬时速度.
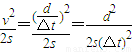
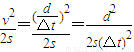
(2)由题意可知,该实验中保持小车质量M不变,因此有:v2=2as,a=
,而a=
,所以
(3)根据“探究加速度与力、质量的关系”实验原理结合图象特点即可正确回答.
解答:解:(1)游标卡尺的主尺读数为4mm,游标读数为0.1×6mm=0.6mm,
所以最终读数为:4mm+0.6mm=4.6mm
由于遮光条通过光电门的时间极短,可以用平均速度表示瞬时速度v=
;
(2)由题意可知,该实验中保持小车质量M不变,因此有:v2=2as,a=
,而a=
,所以
所以要画出
-m图象,故选D
(3)开始当小车挂上重物时,加速度却为零,线性图象不通过坐标原点,故导致图象不过原点的原因是木板倾角偏小.即说明操作过程中没有平衡摩擦力或者平衡摩擦力不足.随着重物质量不断的增大,已经不满足小车的质量远远大于重物的质量,所以图象出现弯曲.
故答案为:(1)4.6;
;(2)D;(3)没有平衡摩擦力或者平衡摩擦力不足;不满足小车的质量远远大于重物的质量
点评:常用仪器的读数要掌握,这是物理实验的基础.处理实验时一定要找出实验原理,根据实验原理我们可以寻找需要测量的物理量和需要注意的事项.
(2)由题意可知,该实验中保持小车质量M不变,因此有:v2=2as,a=
(3)根据“探究加速度与力、质量的关系”实验原理结合图象特点即可正确回答.
解答:解:(1)游标卡尺的主尺读数为4mm,游标读数为0.1×6mm=0.6mm,
所以最终读数为:4mm+0.6mm=4.6mm
由于遮光条通过光电门的时间极短,可以用平均速度表示瞬时速度v=
(2)由题意可知,该实验中保持小车质量M不变,因此有:v2=2as,a=
所以要画出
(3)开始当小车挂上重物时,加速度却为零,线性图象不通过坐标原点,故导致图象不过原点的原因是木板倾角偏小.即说明操作过程中没有平衡摩擦力或者平衡摩擦力不足.随着重物质量不断的增大,已经不满足小车的质量远远大于重物的质量,所以图象出现弯曲.
故答案为:(1)4.6;
点评:常用仪器的读数要掌握,这是物理实验的基础.处理实验时一定要找出实验原理,根据实验原理我们可以寻找需要测量的物理量和需要注意的事项.
练习册系列答案
相关题目