题目内容

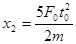
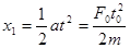
一物体在外力的作用下从静止开始做直线运动,合外力方向不变,大小随时间的变化如图所示。设该物体在t0和2t0时刻相对于出发点的位移分别是x1和x2,速度分别是v1和v2,合外力从开始至t0时刻做的功是W1,从t0至2t0时刻做的功是W2,则

A.x2 = 5x1   v2 = 3v1    B.x1 = 9x2    v2 = 5v1

C.x2 = 5x1   W2 = 8W1   D.v2 = 3v1    W2 = 9W1

 

【答案】

AC

【解析】

试题分析:由题意和图像可知,在开始至t0时刻物体的加速度为 ,t0时刻的速度为位移为,外力做功;从t0至2t0时刻物体的加速度,2t0时刻的速度为,此阶段的位移为,故2t0时刻相对于出发点的位移,外力做功,综合上述可知x2 = 5x1   v2 = 3v1   W2 = 8W1 ,故A、C正确。

考点:功、动能定理

 

练习册系列答案
相关题目

违法和不良信息举报电话:027-86699610 举报邮箱:58377363@163.com

精英家教网