题目内容
如图所示,水平地面上OP段是粗糙的,OP长为L=1.6m,滑块A、B与该段的动摩擦因数都为μ=0.5,水平地面的其余部分是光滑的.滑块B静止在O点,其质量mB=2kg.滑块A在O点左侧以v=5m/s的水平初速度向右运动,并与B发生碰撞.A的质量是B的K(K取正整数)倍,滑块均可视为质点,取g=10m/s2.(1)若滑块A与B发生完全非弹性碰撞,求A、B碰撞过程中损失的机械能;
(2)若滑块A、B构成的系统在碰撞过程中没有机械能损失,试讨论K在不同取值范围时滑块A克服摩擦力所做的功.
【答案】分析:(1)若滑块A与B发生完全非弹性碰撞,根据动量守恒求出碰后的共同速度,碰撞过程中损失的机械能等于碰撞前后动能的减少.
(2)若滑块A与B发生弹性碰撞,根据动量守恒和机械能守恒列式,求出碰后两物的速度.假设滑块A、B都能在OP段滑动,滑块A、B在OP段的加速度(aA=aB=μg)相等,根据两个物体碰后速度大小,判断滑块A、B能否再一次发生碰撞.若不能再发生碰撞,根据K的取值范围,求解滑块A克服摩擦力所做的功.
解答:解:(1)设滑块A碰B后的共同速度为v,AB碰撞过程中损失的机械能为△E
由动量守恒定律有 mAv=(mA+mB)v ①
由能量守恒定律有△E=
mAv2-
(mA+mB )v2 ②
联立①②式并代入数据解得
J ③
(2)设碰撞后A、B速度分别为vA、vB,且设向右为正方向,由于弹性碰撞,则有:
mAv=mAvA+mBvB ④
mAv2=
mAv
+
mBv
⑤
联立④⑤式并代入数据解得
m/s ⑥
m/s ⑦
假设滑块A、B都能在OP段滑动,滑块A、B在OP段的加速度(aA=aB=μg)相等,由⑥⑦式知在任意时刻vB>vA,滑块A、B不会再一次发生碰撞.
由题知,当滑块A刚好能够到达P点有
⑧
代入数据解得K ⑨
讨论:
(1)当K=1 时,vA=0,滑块A停在O点,A克服摩擦力所做的功为WfA=0 ⑩
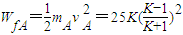
(2)当1<K≤9时,滑块A停在OP之间,A克服摩擦力所做的功为
J (11)
(3)当K>9时,滑块A从OP段右侧离开,A克服摩擦力所做的功为WfA=μmAgL=16KJ (12)
答:
(1)若滑块A与B发生完全非弹性碰撞,A、B碰撞过程中损失的机械能为
;
(2)若滑块A、B构成的系统在碰撞过程中没有机械能损失,滑块A克服摩擦力所做的功情况有:
(1)当K=1 时,vA=0,滑块A停在O点,A克服摩擦力所做的功为WfA=0
(2)当1<K≤9时,滑块A停在OP之间,A克服摩擦力所做的功为
J
(3)当K>9时,滑块A从OP段右侧离开,A克服摩擦力所做的功为WfA=μmAgL=16KJ
点评:本题综合考查了动量守恒定律、动能定理、机械能守恒定律,综合性较强,对学生的能力要求较高,第3问要根据K不同的取值范围进行讨论.
(2)若滑块A与B发生弹性碰撞,根据动量守恒和机械能守恒列式,求出碰后两物的速度.假设滑块A、B都能在OP段滑动,滑块A、B在OP段的加速度(aA=aB=μg)相等,根据两个物体碰后速度大小,判断滑块A、B能否再一次发生碰撞.若不能再发生碰撞,根据K的取值范围,求解滑块A克服摩擦力所做的功.
解答:解:(1)设滑块A碰B后的共同速度为v,AB碰撞过程中损失的机械能为△E
由动量守恒定律有 mAv=(mA+mB)v ①
由能量守恒定律有△E=
联立①②式并代入数据解得
(2)设碰撞后A、B速度分别为vA、vB,且设向右为正方向,由于弹性碰撞,则有:
mAv=mAvA+mBvB ④
联立④⑤式并代入数据解得
假设滑块A、B都能在OP段滑动,滑块A、B在OP段的加速度(aA=aB=μg)相等,由⑥⑦式知在任意时刻vB>vA,滑块A、B不会再一次发生碰撞.
由题知,当滑块A刚好能够到达P点有
代入数据解得K ⑨
讨论:
(1)当K=1 时,vA=0,滑块A停在O点,A克服摩擦力所做的功为WfA=0 ⑩
(2)当1<K≤9时,滑块A停在OP之间,A克服摩擦力所做的功为
(3)当K>9时,滑块A从OP段右侧离开,A克服摩擦力所做的功为WfA=μmAgL=16KJ (12)
答:
(1)若滑块A与B发生完全非弹性碰撞,A、B碰撞过程中损失的机械能为
(2)若滑块A、B构成的系统在碰撞过程中没有机械能损失,滑块A克服摩擦力所做的功情况有:
(1)当K=1 时,vA=0,滑块A停在O点,A克服摩擦力所做的功为WfA=0
(2)当1<K≤9时,滑块A停在OP之间,A克服摩擦力所做的功为
(3)当K>9时,滑块A从OP段右侧离开,A克服摩擦力所做的功为WfA=μmAgL=16KJ
点评:本题综合考查了动量守恒定律、动能定理、机械能守恒定律,综合性较强,对学生的能力要求较高,第3问要根据K不同的取值范围进行讨论.
练习册系列答案
相关题目