题目内容
在做《研究匀变速直线运动》的实验时,某同学得到一条纸带,如图所示,并且每隔四个计时点取一个计数点,已知每两个计数点间的距离为x,且x1=7.05cm,x2=7.68cm,x3=8.33cm,x4=8.95cm,x5=9.61cm,x6=10.26cm,电磁打点计时器的电源频率为50Hz.(1)计算此纸带的加速度大小a= m/s2,打计数点3时纸带的速度大小v= m/s(计算结果保留两位有效数字).
(2)请你依据本实验推断6记数点和7记数点之间的测量距离是 cm.
【答案】分析:解:(1)根据匀变速直线运动的推论公式△x=aT2可以求出加速度的大小,根据匀变速直线运动中时间中点的速度等于该过程中的平均速度,可以求出打纸带上3点时小车的瞬时速度大小.
(2)根据匀变速直线运动相邻相等时间内的位移差是定值可以求出6记数点和7记数点之间的距离.
解答:解:(1)根据匀变速直线运动的推论公式△x=aT2可以求出加速度的大小,
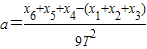
得:x4-x1=3a1T2 ①
x5-x2=3a2T2 ②
x6-x3=3a3T2 ③
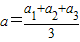
为了更加准确的求解加速度,我们对三个加速度取平均值
得:
④
①→④联立得:

=
=0.64m/s2
每两个相邻的测量点之间的时间间隔T=0.10s,根据匀变速直线运动中时间中点的速度等于该过程中的平均速度,
得:
(2)根据匀变速直线运动的推论公式△x=aT2可得:
x2-x1=x3-x4=x7-x6
代入数据可得:6记数点和7记数点之间距离为x7=10.90cm
故答案为:0.64 0.86 10.90
点评:要学会应用匀变速直线的规律以及推论解答实验问题的能力,在平时练习中要加强基础知识的理解与应用.
(2)根据匀变速直线运动相邻相等时间内的位移差是定值可以求出6记数点和7记数点之间的距离.
解答:解:(1)根据匀变速直线运动的推论公式△x=aT2可以求出加速度的大小,
得:x4-x1=3a1T2 ①
x5-x2=3a2T2 ②
x6-x3=3a3T2 ③
为了更加准确的求解加速度,我们对三个加速度取平均值
得:
①→④联立得:
=
=0.64m/s2
每两个相邻的测量点之间的时间间隔T=0.10s,根据匀变速直线运动中时间中点的速度等于该过程中的平均速度,
得:
(2)根据匀变速直线运动的推论公式△x=aT2可得:
x2-x1=x3-x4=x7-x6
代入数据可得:6记数点和7记数点之间距离为x7=10.90cm
故答案为:0.64 0.86 10.90
点评:要学会应用匀变速直线的规律以及推论解答实验问题的能力,在平时练习中要加强基础知识的理解与应用.
练习册系列答案
相关题目