ÌâÄ¿ÄÚÈÝ

£¨12·Ö£©ÓÃÈçͼËùʾµÄʵÑé×°ÖÃÑéÖ¤»úеÄÜÊØºã¶¨ÂÉ£®ÊµÑéËùÓõĵçԴΪѧÉúµçÔ´£¬Êä³öµçѹΪ6VµÄ½»Á÷µçºÍÖ±Á÷µçÁ½ÖÖ£®ÖØ´¸´Ó¸ß´¦Óɾ²Ö¹¿ªÊ¼ÏÂÂ䣬֨´¸ÉÏÍÏ×ŵÄÖ½´ø´ò³öһϵÁеĵ㣬¶ÔÖ½´øÉϵĵãºÛ½øÐвâÁ¿£¬¼´ÑéÖ¤»úеÄÜÊØºã¶¨ÂÉ£®

£¨1£©ÏÂÃæÁоÙÁ˸ÃʵÑéµÄ¼¸¸ö²Ù×÷²½Ö裺
A£®°´ÕÕͼʾµÄ×°Öð²×°Æ÷¼þ£»
B£®½«´òµã¼ÆÊ±Æ÷½Óµ½µçÔ´µÄ¡°Ö±Á÷Êä³ö¡±ÉÏ£»
C£®ÓÃÌìÆ½²â³öÖØ´¸µÄÖÊÁ¿£»
D£®ÏÈÊÍ·ÅÐü¹ÒÖ½´øµÄ¼Ð×Ó£¬È»ºó½ÓͨµçÔ´¿ª¹Ø´ò³öÒ»ÌõÖ½´ø£»
E£®²âÁ¿Ö½´øÉÏijЩµã¼äµÄ¾àÀ룻
F£®¸ù¾Ý²âÁ¿µÄ½á¹û¼ÆËãÖØ´¸ÏÂÂä¹ý³ÌÖмõÉÙµÄÖØÁ¦ÊÆÄÜÊÇ·ñµÈÓÚÔö¼ÓµÄ¶¯ÄÜ£®
ÆäÖÐûÓбØÒª½øÐеĻòÕß²Ù×÷²»µ±µÄ²½ÖèÊÇ            £®£¨½«ÆäÑ¡Ïî¶ÔÓ¦µÄ×ÖĸÌîÔÚºáÏß´¦£©
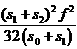
£¨2£©ÀûÓÃÕâ¸ö×°ÖÃÒ²¿ÉÒÔ²âÁ¿ÖØ´¸ÏÂÂäµÄ¼ÓËÙ¶ÈaµÄÊýÖµ£®ÈçͼËùʾ£¬¸ù¾Ý´ò³öµÄÖ½´ø£¬Ñ¡È¡Ö½´øÉϵÄÁ¬ÐøµÄÎå¸öµãA¡¢B¡¢C¡¢D¡¢E£¬²â³öA¾àÆðʼµãOµÄ¾àÀëΪs0£¬µãAC¼äµÄ¾àÀëΪs1£¬µãCE¼äµÄ¾àÀëΪs2£¬Ê¹Óý»Á÷µçµÄƵÂÊΪf£¬¸ù¾ÝÕâЩÌõ¼þ¼ÆËãÖØ´¸ÏÂÂäµÄ¼ÓËÙ¶Èa£½_________£®

£¨3£©ÔÚÉÏÊöÑéÖ¤»úеÄÜÊØºã¶¨ÂɵÄʵÑéÖз¢ÏÖ£¬ÖØ´¸¼õСµÄÖØÁ¦ÊÆÄÜ×ÜÊÇ´óÓÚÖØ´¸¶¯ÄܵÄÔö¼Ó£¬ÆäÔ­ÒòÖ÷ÒªÊÇÒòΪÔÚÖØ´¸ÏÂÂäµÄ¹ý³ÌÖдæÔÚ×èÁ¦×÷Ó㬿ÉÒÔͨ¹ý¸ÃʵÑé×°Öòâ×èÁ¦µÄ´óС£®ÈôÒÑÖªµ±µØÖØÁ¦¼ÓËٶȹ«ÈϵĽÏ׼ȷµÄֵΪg£¬»¹ÐèÒª²âÁ¿µÄÎïÀíÁ¿ÊÇ              £®ÊÔÓÃÕâЩÎïÀíÁ¿ºÍÉÏͼֽ´øÉϵÄÊý¾Ý·ûºÅ±íʾ³öÖØ´¸ÔÚÏÂÂäµÄ¹ý³ÌÖÐÊܵ½µÄƽ¾ù×èÁ¦´óСF£½             £®

£¨1£©BCD   £¨2£© »ò
£¨3£©ÖØ´¸µÄÖÊÁ¿m £¬ »ò

½âÎö

Á·Ï°²áϵÁдð°¸
Ïà¹ØÌâÄ¿
ÓÃÈçͼËùʾµÄʵÑé×°ÖÃÑéÖ¤»úеÄÜÊØºã¶¨ÂÉ£®ÊµÑéËùÓõĵçԴΪѧÉúµçÔ´£¬Êä³öµçѹΪ6VµÄ½»Á÷µçºÍÖ±Á÷µçÁ½ÖÖ£®ÖØ´¸´Ó¸ß´¦Óɾ²Ö¹¿ªÊ¼ÏÂÂ䣬֨´¸ÉÏÍÏ×ŵÄÖ½´ø´ò³öһϵÁеĵ㣬¶ÔÖ½´øÉϵĵ㼣½øÐвâÁ¿£¬¼´¿ÉÑéÖ¤»úеÄÜÊØºã¶¨ÂÉ£®
£¨1£©ÏÂÃæÁоÙÁ˸ÃʵÑéµÄ¼¸¸ö²Ù×÷²½Ö裺
A£®°´ÕÕͼʾµÄ×°Öð²×°Æ÷¼þ£»
B£®½«´òµã¼ÆÊ±Æ÷½Óµ½µçÔ´µÄ¡°Ö±Á÷Êä³ö¡±ÉÏ£»
C£®ÓÃÌìÆ½²â³öÖØ´¸µÄÖÊÁ¿£»
D£®ÏÈÊÍ·ÅÖ½´ø£¬ÔÙ½ÓͨµçÔ´£¬´ò³öÒ»ÌõÖ½´ø£»
E£®ÓÃÃë±í²â³öÖØ´¸ÏÂÂäµÄʱ¼ä£»
F£®²âÁ¿Ö½´øÉÏijЩµã¼äµÄ¾àÀ룻
G£®¸ù¾Ý²âÁ¿µÄ½á¹û¼ÆËãÖØ´¸ÏÂÂä¹ý³ÌÖмõÉÙµÄÖØÁ¦ÊÆÄÜÊÇ·ñµÈÓÚÔö¼ÓµÄ¶¯ÄÜ£®
ÆäÖÐûÓбØÒª½øÐеIJ½ÖèÊÇ
CE
CE
£¨ÌîÑ¡Ï
ÆäÖвÙ×÷´íÎóµÄ²½ÖèÊÇ
BD
BD
£¨ÌîÑ¡Ï
£¨2£©ÔÚʵÑéÖУ¬ÖÊÁ¿m=1kgµÄÎïÌå×ÔÓÉÏÂÂ䣬µÃµ½ÈçͼËùʾµÄÖ½´ø£¬ÏàÁÚ¼ÆÊýµã¼äµÄʱ¼ä¼ä¸ôΪ0.04s£®ÄÇô´Ó´òµã¼ÆÊ±Æ÷´òÏÂÆðµãPµ½´òÏÂBµãµÄ¹ý³ÌÖУ¬ÎïÌåÖØÁ¦ÊÆÄܵļõÉÙÁ¿¡÷Ep=
2.28
2.28
J£¬´Ë¹ý³ÌÖÐÎïÌ嶯ÄܵÄÔö¼ÓÁ¿¡÷Ek=
2.26
2.26
J£®£¨È¡g=9.8m/s2£¬½á¹û±£ÁôÈýλÓÐЧÊý×Ö£©
£¨3£©ÓÃv±íʾ¸÷¼ÆÊýµãµÄËÙ¶È£¬h±íʾ¸÷¼ÆÊýµãµ½PµãµÄ¾àÀ룬ÒÔ
v2
2
Ϊ×ÝÖᣬÒÔhΪºáÖᣬ¸ù¾ÝʵÑéÊý¾Ý»æ³ö 
v2
2
¡«hµÄͼÏߣ¬ÈôͼÏßµÄбÂʵÈÓÚij¸öÎïÀíÁ¿µÄÊýֵʱ£¬ËµÃ÷ÖØÎïÏÂÂä¹ý³ÌÖлúеÄÜÊØºã£¬¸ÃÎïÀíÁ¿ÊÇ
µ±µØÖØÁ¦¼ÓËÙ¶Èg
µ±µØÖØÁ¦¼ÓËÙ¶Èg
£®
¢ñ£®ÓÃÈçͼËùʾµÄʵÑé×°ÖÃÀ´Ñé֤ţ¶ÙµÚ¶þ¶¨ÂÉ£®
¢ÙΪÏû³ýĦ²ÁÁ¦µÄÓ°Ï죬ʵÑéǰƽºâĦ²ÁÁ¦µÄ¾ßÌå²Ù×÷Ϊ£ºÈ¡ÏÂ
ɰͰ
ɰͰ
£¬°Ñľ°å²»´ø»¬ÂÖµÄÒ»¶ËÊʵ±µæ¸ß²¢·´¸´µ÷½Ú£¬Ö±µ½ÇáÍÆÐ¡³µºó£¬Ð¡³µÄÜÑØÄ¾°å×ö
ÔÈËÙÖ±Ïß
ÔÈËÙÖ±Ïß
Ô˶¯£®
¢Úij´ÎʵÑé²âµÃµÄÊý¾ÝÈçϱíËùʾ£¬¸ù¾ÝÕâЩÊý¾ÝÔÚ×ø±êͼÖÐÃèµã²¢×÷³öa-
1
m
ͼÏߣ¬´Óa-
1
m
ͼÏßÇóµÃºÏÍâÁ¦´óСΪ
0.3
0.3
N£¨¼ÆËã½á¹û±£ÁôÁ½Î»ÓÐЧÊý×Ö£©£®
¢ò£®Ä³ÎïÀíÐËȤС×éµÄͬѧÏëÓÃÈçͼ¼×ËùʾµÄµç·̽¾¿Ò»ÖÖÈÈÃôµç×èµÄζÈÌØÐÔ£®
£¨1£©Çë°´µç·ԭÀíͼ½«Í¼ÒÒÖÐËùȱµÄµ¼Ïß²¹½ÓÍêÕû£®ÎªÁ˱£Ö¤ÊµÑéµÄ°²È«£¬»¬¶¯±ä×èÆ÷µÄ»¬¶¯´¥Í·PÔÚʵÑ鿪ʼǰӦÖÃÓÚ
a
a
¶Ë£¨Ñ¡Ìî¡°a¡±»ò¡°b¡±£©

£¨2£©ÕýÈ·Á¬½Óµç·ºó£¬ÔÚ±£ÎÂÈÝÆ÷ÖÐ×¢ÈëÊÊÁ¿ÀäË®£®½ÓͨµçÔ´£¬µ÷½ÚR¼Çϵçѹ±íºÍµçÁ÷±íµÄʾÊý£¬¼ÆËã³ö¸ÃζÈϵĵç×èÖµ£¬½«ËüÓë´ËʱµÄË®ÎÂÒ»Æð¼ÇÈë±íÖУ®¸Ä±äË®µÄζȣ¬²âÁ¿³ö²»Í¬Î¶Èϵĵç×èÖµ£®¸Ã×éͬѧµÄ²âÁ¿Êý¾ÝÈçϱíËùʾ£¬ÇëÄãÔÚͼ±ûµÄ×ø±êÖ½Öл­³ö¸ÃÈÈÃôµç×èµÄR-t¹ØÏµÍ¼£®¶Ô±ÈʵÑé½á¹ûÓëÀíÂÛÇúÏߣ¨Í¼ÖÐÒÑ»­³ö£©¿ÉÒÔ¿´³ö¶þÕßÓÐÒ»¶¨µÄ²îÒ죮³ýÁ˶ÁÊýµÈżȻÎó²îÍ⣬»¹¿ÉÄÜÊÇʲôԭÒòÔì³É£¿
µçÁ÷±íµÄ·ÖѹÔì³Éµç×èµÄ²âÁ¿Öµ×ܱÈÕæÊµÖµ´ó»òËæ×ÅζȵÄÉý¸ß£¬ÈÈÃôµç×èµÄ×èÖµ±äС£¬µçÁ÷±íµÄ·Öѹ×÷ÓøüÃ÷ÏÔ£¬Ïà¶ÔÎó²î¸ü´ó
µçÁ÷±íµÄ·ÖѹÔì³Éµç×èµÄ²âÁ¿Öµ×ܱÈÕæÊµÖµ´ó»òËæ×ÅζȵÄÉý¸ß£¬ÈÈÃôµç×èµÄ×èÖµ±äС£¬µçÁ÷±íµÄ·Öѹ×÷ÓøüÃ÷ÏÔ£¬Ïà¶ÔÎó²î¸ü´ó
£®
ζÈ/¡æ 30 40 50 60 70 80 90 100
×èÖµ/k¦¸ 7.8 5.3 3.4 2.2 1.5 1.1 0.9 0.7
£¨3£©ÒÑÖªµç×èµÄÉ¢Èȹ¦ÂʿɱíʾΪPÉ¢=k£¨t-t0£©£¬ÆäÖÐkÊDZÈÀýϵÊý£¬tÊǵç×èµÄζȣ¬t0ÊÇÖÜΧ»·¾³Î¶ȣ®ÏÖ½«±¾ÊµÑéËùÓõÄÈÈÃôµç×è½Óµ½Ò»¸öºãÁ÷µçÔ´ÖУ¬Ê¹Á÷¹ýËüµÄµçÁ÷ºãΪ40mA£¬t0=20¡æ£¬k=0.16W/¡æ£®ÓÉÀíÂÛÇúÏß¿ÉÖª£º
¢Ù¸Ãµç×èµÄζȴóÔ¼Îȶ¨ÔÚ
50
50
¡æ£»    ¢Ú´Ëʱµç×èµÄ·¢Èȹ¦ÂÊΪ
4.8
4.8
W£®

Î¥·¨ºÍ²»Á¼ÐÅÏ¢¾Ù±¨µç»°£º027-86699610 ¾Ù±¨ÓÊÏ䣺58377363@163.com

¾«Ó¢¼Ò½ÌÍø