题目内容

如图所示,物体由静止从A点沿斜面匀加速下滑,随后在水平面上作匀减速运动,最后停止于C点,已知AB = 4 m,BC = 6 m,整个运动历时10 s,求分别在AB和BC运动的加速度.

 

 

【答案】

0.5 m/s2;-0.33 m/s2

【解析】

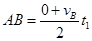
试题分析:在AB段物体做初速度为零的匀加速直线运动,根据位移公式有:

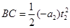
在BC段物体做匀减速直线运动,根据逆向思维有:

而:

时间关系:10 s=t1+t2

解得AB段和BC段的加速度为:0.5 m/s2;-0.33 m/s2

考点:本题考查匀变速直线运动的规律。

 

练习册系列答案
相关题目

违法和不良信息举报电话:027-86699610 举报邮箱:58377363@163.com

精英家教网