题目内容
随着现代科学技术的飞速发展,广寒宫中的嫦娥不再寂寞,古老的月球即将留下中华儿女的足迹.航天飞机作为能往返于地球与太空,可以重复使用的太空飞行器,备受人们的喜爱.宇航员现欲乘航天飞机对在距月球表面高h处的圆轨道上运行的月球卫星进行维修,维修时航天飞机与卫星在同一轨道上.试求:(1)维修卫星时航天飞机的速度应为多大?
(2)已知地球自转周期为T,则该卫星每天可绕月球转几圈?
(已知月球半径为R,月球表面的重力加速度为gm,计算过程中可不计地球引力的影响,计算结果用h、R、gm、T等表示)
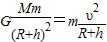
【答案】分析:(1)根据万有引力提供向心力
和万有引力等于重力
,求出航天飞机的速度.
(2)根据万有引力提供向心力求出卫星的周期,从而求出卫星每天绕月球运转的圈数.
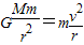
解答:解:(1)根据万有引力定律,在月球上的物体
卫星绕月球做圆周运动,设速度为v,则
解得:
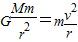
(2)设卫星运动周期为T,则
解得:
则卫星每天绕月球运转的圈数为
.
点评:解决本题的关键掌握万有引力提供向心力
和万有引力等于重力
.
(2)根据万有引力提供向心力求出卫星的周期,从而求出卫星每天绕月球运转的圈数.
解答:解:(1)根据万有引力定律,在月球上的物体
卫星绕月球做圆周运动,设速度为v,则
解得:
(2)设卫星运动周期为T,则
解得:
则卫星每天绕月球运转的圈数为
点评:解决本题的关键掌握万有引力提供向心力
练习册系列答案
相关题目