题目内容

水平传送带A、B以v=2m/s的速度匀速运动,如图所示,A、B相距11m,一物体(可视为质点)从A点由静止释放,物体与传送带间的动摩擦因数μ=0.2.则物体从A沿传送带运动到B所需的时间为多少?(g取)

答案:6s
解析:

  传送带匀速运动,当物体在A点静止释放后,由于摩擦力的作用,物体必做加速运动.但是,物体的速度不会超过传送带的速度,因此,物体的运动可能有两种情况:(1)AB间距离较小,物体由AB一直做加速运动;(2)AB间距离较大,物体由AB过程中,可能先匀加速运动,后做匀速运动.由于题目中数据已知,故需通过计算、分析,确定属于上述的哪种情况.

  解:开始时,物体受的摩擦力为F=μmg,由牛顿第二定律得物体的加速度

设经时间,物体速度达到2m/s,由得:

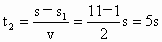
此时间的位移为:

此后物体做匀速运动,所用时间:

故所求时间


练习册系列答案
相关题目

违法和不良信息举报电话:027-86699610 举报邮箱:58377363@163.com

精英家教网