题目内容

在“研究匀变速直线运动”的实验中,某同学得到一条用打点计时器打下的纸带,并在其上取了O、A、B、C、D、E、F共7个计数点(图中每相邻两个计数点间还有四个打点计时器打下的点未画出),如图所示。打点计时器接的是频率为50Hz的交流电源,计数点问的距离依次为S1=2.60cm、S2=4.10cm、S3=5.60cm、S4=7 .10cm、S5=8.60cm、S6=10.0cm

(1)在打计数点A时纸带的速度为V1=_____________m/s;

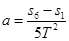
(2)若计数点间的距离依次用S1、S2、S3、S、S5、S6表示,相邻两个计数点间的时间间隔用T表示,用逐差法求加速度的表达式为:a=_________,代入数据后,加速度大小为_________m/s。(以上结果均保留三位有效数字)

 

【答案】

(1)  (2) 

【解析】

试题分析:(1)匀变速直线运动中间时刻的瞬时速度等于平均速度,即A点的瞬时速度等于OB的平均速度所以有

(2)根据,可得……如此最后求得加速度的平均值,测量数据只用2个,误差较大,所以我们选择,最后求得加速度平均值,带入数据得

考点:匀变速直线运动实验探究

 

练习册系列答案
相关题目

违法和不良信息举报电话:027-86699610 举报邮箱:58377363@163.com

精英家教网