题目内容
一个物体从静止开始做匀加速直线运动,以T为时间间隔,在第三个T内的位移是3 m,第三个T终了时的瞬时速度是3 m/s,则( )
A.物体的加速度是3 m/s2
B.物体在第一个T终了时的瞬时速度为1 m/s
C.时间间隔为1 s
D.物体在第一个T时间内的位移为1 m
【答案】
B
【解析】
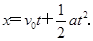
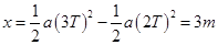
试题分析:第三个T内的位移
.第三个T末的瞬时速度
,联立两个方程求解得:
,加速度
.故AC错误, 第一个T末的速度
.故B正确.第一个T内的位移
.故D错误.
故选B
考点:匀变速直线运动的位移与时间的关系;
点评:解决本题的关键掌握速度时间公式
,以及位移时间公式![]()
练习册系列答案
相关题目
一个物体从静止开始做匀加速直线运动,加速度大小为a1,当速度大小为v1时,将加速度反向,大小恒定为a2,恰能使这物体在相同时间内回到原出发点,回到原出发点时的速度大小为v2.则下列关系式中正确的有( )
A、
| ||||
B、
| ||||
C、
| ||||
D、
|
一个物体从静止开始做匀加速直线运动.它在第一秒内与在第二秒内位移之比为x1:x2,在走完前1m时与走完前2m时的速度之比为v1:v2.下列正确的是( )
| A、x1:x2=1:3 v1:v2=1:2 | ||
B、x1:x2=1:3 v1:v2=1:
| ||
| C、x1:x2=1:4 v1:v2=1:2 | ||
D、x1:x2=1:4 v1:v2=1:
|