题目内容
P、Q、R三点在同一条直线上,物体做匀加速直线运动,经过P点的速度为v,经过Q 点的速度为2v,到R点的速度为3v,则PQ:QR等于( )A.l:3
B.3:5
C.3:8
D.P点速度不为零,因而无法判定
【答案】分析:由匀加速直线运动速度--位移公式求解最快
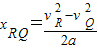
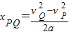
解答:解:设加速度为a,由速度--位移公式得:
=
;
=
故:xPQ:xQR=3:5
故选B
点评:匀变速直线运动规律经常使用的有三个,推论有两个,要牢记、活用
解答:解:设加速度为a,由速度--位移公式得:
故:xPQ:xQR=3:5
故选B
点评:匀变速直线运动规律经常使用的有三个,推论有两个,要牢记、活用
练习册系列答案
相关题目