题目内容
a、b两颗人造地球卫星分别在如图所示的两个不同的轨道上运行,下列说法中正确的是( )A.a卫星的运行速度比第一宇宙速度大
B.b卫星的运行速度较小
C.b卫星受到的向心力较大
D.a卫星受到的向心力较大
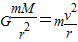
【答案】分析:卫星绕地球做匀速圆周运动所需的向心力由地球和卫星间的万有引力提供,即满足
解答:解:A、卫星与地球间的万有引力提供向心力
可得
即卫星轨道越大,则运行速度越小.又因为第一宇宙速度
,由于a的轨道半径大于地球的半径,故a卫星的运行速度比第一宇宙速度小,所以A错;
B、∵
,ra<rb
∴va>vb 故B正确
C、∵向心力由万有引力提供
∴
,对a、b卫星而言,表达式中GM是定值,向心力的大小取决于
比值的大小,而题目中只给出半径大小关系,没有给出卫星的质量关系,故无法判断
的大小,所以无法比较a、b卫星的向心力大小,故C错
D、由C分析知,同理D错误
故选B
点评:本题主要考查卫星运动中卫生所受万引力提供向力
,并由此方程推导得出卫星运行速度大小与半径关系进行讨论.
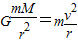
解答:解:A、卫星与地球间的万有引力提供向心力
B、∵
∴va>vb 故B正确
C、∵向心力由万有引力提供
∴
D、由C分析知,同理D错误
故选B
点评:本题主要考查卫星运动中卫生所受万引力提供向力
练习册系列答案
相关题目