题目内容
如图所示,质量均为m的小车与木箱紧挨着静止在光滑的水平冰面上,质量为2m的小明站在小车上用力向右迅速推出木箱,木箱相对于冰面的速度为v,接着木箱与右侧竖直墙壁发生弹性碰撞,反弹后被小明接住,求小明接住木箱后三者共同运动时速度的大小.
【答案】分析:小明在推出木箱的过程和接住木箱的过程系统动量守恒,根据动量守恒定律求出小明接住木箱后三者共同运动时速度的大小.
解答:解:取向左为正方向,根据动量守恒定律得,
推出木箱的过程:0=(m+2m)v1-mv
接住木箱的过程:mv+(m+2m)v1=(m+m+2m)v2
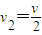
解得共同速度
.
答:小明接住木箱后三者共同运动时速度的大小为
.
点评:解决本题的关键掌握动量守恒定律,在运用动量守恒定律解题时注意速度的方向.
解答:解:取向左为正方向,根据动量守恒定律得,
推出木箱的过程:0=(m+2m)v1-mv
接住木箱的过程:mv+(m+2m)v1=(m+m+2m)v2
解得共同速度
答:小明接住木箱后三者共同运动时速度的大小为
点评:解决本题的关键掌握动量守恒定律,在运用动量守恒定律解题时注意速度的方向.
练习册系列答案
相关题目