题目内容
如图,表面光滑的固定斜面顶端安装一定滑轮,小物块A、B用轻绳连接并跨过定滑轮(不计滑轮摩擦)。初始时刻,A、B位于同一高度并处于静止状态,剪断轻绳后A自由下落、B沿斜面下滑,则在从剪断轻绳到着地前瞬间的过程中,两物块
![]()
A.速度的变化量相同
B.机械能的变化量不同
C.重力做功的平均功率相同
D.动能的变化量相同
【答案】
C
【解析】
试题分析:剪断轻绳后A自由下落,B沿斜面下滑,A、B都只有重力做功,机械能守恒,重力势能变化量等于重力所做的功,重力做功的平均功率等于重力做功与时间的比值.设斜面倾角为θ,刚开始A、B均处于静止状态,所以
gsinθ=
g,所以
>
,剪断轻绳后A自由下落,B沿斜面下滑,A、B都只有重力做功,根据动能定理得:
=mgh,v=
,所以速度的变化量大小为v-0=
,故速度的变化量大小相同、方向不同,选项A错误;A、B都只有重力做功,机械能守恒,动能的增加量等于重力势能的减小零,所以
=mgh,由于
>
,所以动能变化量不相等,选项B、D错误;重力势能变化量
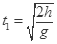
=mgh,A运动的时间为:
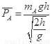
,所以A重力做功的平均功率为:
,B运动的时间满足:,解得:
,所以B重力做功的平均功率为:
,而
gsinθ=
g,所以重力做功的平均功率相等,故选项C正确.
考点:机械能守恒定律,功能关系,平均功率
练习册系列答案
相关题目
| A、速度相等 | B、机械能不同 | C、重力势能相同 | D、重力的功率相同 |
| A、速率的变化量不同 | B、机械能的变化量不同 | C、重力势能的变化量不相同 | D、重力做功的平均功率不相同 |