题目内容
以18m/s的速度行驶的汽车,制动刹车后做匀减速运动,在3.0s内前进36m.求:(1)汽车的加速度;
(2)从汽车开始刹车时计时,5.0s内汽车前进的距离.
【答案】分析:(1)根据题意可知,汽车在3s内做匀减速运动,因此直接利用位移-时间公式可以求解.
(2)根据(1)问所求加速度,判断汽车停止所需时间,然后选择合适公式进行求解.
解答:解:设初速度的方向为正方向.
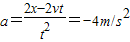
(1)由位移公式,有:

解得:
加速度方向与速度反向.
(2)刹车的总时间为:
,小于所给时间5s,因此在5s内汽车已经停止运动.
因此有:
故从汽车开始刹车时计时,5.0s内汽车前进的距离为40.5m.
点评:本题考查了运动学公式在实际生活中的应用,在解答时注意考虑汽车是实际运动情况,不能死板的套用公式.
(2)根据(1)问所求加速度,判断汽车停止所需时间,然后选择合适公式进行求解.
解答:解:设初速度的方向为正方向.
(1)由位移公式,有:
解得:
加速度方向与速度反向.
(2)刹车的总时间为:
因此有:
故从汽车开始刹车时计时,5.0s内汽车前进的距离为40.5m.
点评:本题考查了运动学公式在实际生活中的应用,在解答时注意考虑汽车是实际运动情况,不能死板的套用公式.
练习册系列答案
相关题目