题目内容

某人站在扶梯上,经过t1时间从一楼升到二楼,若自动扶梯不动,人沿扶梯从一楼走到二楼所用时间为t2.现使自动扶梯正常运动,人也保持原来速度沿扶梯向上走,则人从一楼到二楼所用时间为________.

答案:
解析:

  答案:

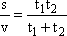
  解析:设从一楼到二楼的位移为s,得出:扶梯、人的速度分别为:v1则合运动的速度为:v=v1+v2

  由上式可得合运动时间为:t=


提示:

本题是运动的合成问题,两分运动是同方向在一直线上的匀速运动,可用速度的合成列式求解.


练习册系列答案
相关题目

违法和不良信息举报电话:027-86699610 举报邮箱:58377363@163.com

精英家教网