题目内容
电流表A,量程0.6A,内阻约为0.1Ω;
电压表V2,量程5V,内阻约为5KΩ;
定值电阻R1,阻值为30Ω;
定值电阻R2,阻值为3KΩ;
滑动变阻器R3,最大阻值100Ω,额定电流1.5A;
电源E,电动势6V,内阻约0.5Ω;
开关S一个,导线若干.
(1)有人拟将待测电压表V1和题中所给的电流表A串连接入电压合适的测量电路中,测出V1的电压和电流,再计算出RV.该方案实际上不可行,其最主要的原因是______
(2)请从上述器材中选择必要的器材,设计一个测量电压表V1内阻RV的实验电路.要求测量尽量准确,实验必须在同一电路中,且在不增减元件的条件下完成.试画出符合要求的实验电路图(图中电源与开关已连接好),并标出所选元件的相应字母代号______.
(3)由上问写出电压表V1内阻RV的表达方式,说明式中各测量量的物理意义.
【答案】分析:(1)由于电压表的内阻很大,流过的电流较小,待测电压表V1和电流表A串连接入电压合适的测量电路中,电流表A不能准确测量出流过电压表V1的电流.
(2)由于电压表V1接入电路后,由电流通过时其两端电压可以直接读出,因而利用串联分压的特点,选用标准电压表V2和定值电阻R2,反复测量通过滑动变阻器R3控制即可.
(3)根据串联电路特点可以求出电压表内阻的表达式,从而进一步,明确各个物理量的含义.
解答:解:(1)由于电压表的内阻很大,流过的电流较小,待测电压表V1和电流表A串连接入电压合适的测量电路中,电流表A不能准确测量出流过电压表V1的电流.
故其原因是:由于电压表的内阻很大,流过的电流较小,待测电压表V1和电流表A串连接入电压合适的测量电路中,电流表A不能准确测量出流过电压表V1的电流.
(2)由于电压表V1接入电路后,由电流通过时其两端电压可以直接读出,因而利用串联分压的特点,选用标准电压表V2和定值电阻R2,反复测量通过滑动变阻器R3控制即可.测量电压表V1内阻Rv的实验电路如图所示:

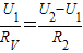
(3)根据串联电路的特点有:
,式中U1表示V1的电压,U2表示V1 和R2串联的总电压.
故电压表内阻的表达式为:
;中U1表示V1的电压,U2表示V1和R2串联的总电压.
点评:本题在课本基础实验的基础上有所创新,只要明确了实验原理,熟练应用电路的串并联知识,即可正确解答.
(2)由于电压表V1接入电路后,由电流通过时其两端电压可以直接读出,因而利用串联分压的特点,选用标准电压表V2和定值电阻R2,反复测量通过滑动变阻器R3控制即可.
(3)根据串联电路特点可以求出电压表内阻的表达式,从而进一步,明确各个物理量的含义.
解答:解:(1)由于电压表的内阻很大,流过的电流较小,待测电压表V1和电流表A串连接入电压合适的测量电路中,电流表A不能准确测量出流过电压表V1的电流.
故其原因是:由于电压表的内阻很大,流过的电流较小,待测电压表V1和电流表A串连接入电压合适的测量电路中,电流表A不能准确测量出流过电压表V1的电流.
(2)由于电压表V1接入电路后,由电流通过时其两端电压可以直接读出,因而利用串联分压的特点,选用标准电压表V2和定值电阻R2,反复测量通过滑动变阻器R3控制即可.测量电压表V1内阻Rv的实验电路如图所示:
(3)根据串联电路的特点有:
故电压表内阻的表达式为:
点评:本题在课本基础实验的基础上有所创新,只要明确了实验原理,熟练应用电路的串并联知识,即可正确解答.
练习册系列答案
相关题目