题目内容
一人骑摩托车越过宽4m的小沟.如图所示,沟两边高度差为1.8m,若人从O点由静止开始运动,已知OA长10m;问:(1)摩托车过A点时速度至少多大才能越过小沟?
(2)车在OA段至少要以多大的加速度作匀加速直线运动才能跨过小沟?(摩托车长度不计)
【答案】分析:(1)根据高度差求出平抛运动的时间,再根据水平位移求出平抛运动的初速度.
(2)已知匀加速直线运动的初末速度和位移,运用速度位移公式求出匀加速直线运动的加速度.
解答:解:(1)根据h=
得,t=
则初速度
答:摩托车过A点时速度至少以
m/s的速度才能越过小沟.
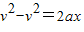
(2)由
得,
a=
答:车在OA段至少要以
作匀加速直线运动才能跨过小沟.
点评:解决本题的关键知道平抛运动的规律,知道平抛运动的时间由高度决定.
(2)已知匀加速直线运动的初末速度和位移,运用速度位移公式求出匀加速直线运动的加速度.
解答:解:(1)根据h=
则初速度
答:摩托车过A点时速度至少以
(2)由
a=
答:车在OA段至少要以
点评:解决本题的关键知道平抛运动的规律,知道平抛运动的时间由高度决定.
练习册系列答案
相关题目