题目内容

如图所示,光滑绝缘轨道上有两个质量均为m的带电小球,A,B分别带有+4Q和-Q的电量,在水平向右的、场强为E的匀强电场中,一起向右做匀加速运动,运动过程中两球相对位置不变,求它们之间的距离.

答案:
解析:

  解:设它们之间的距离为r.对B来说,带电量为-Q,所以受到的电场力=QE,方向向左,对A来说,带电量为4Q,所以受到的电场力为=4QE,方向向右;它们之间的库仑力

  =k,    ①

  由题意知它们的加速度相同,设为a,有:

  对B =ma,     ②

  对A =ma,     ③

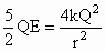
  由②③得QE,   ④

  ④代入①中:

  得:r=

  所以它们的距离为(k为静电常数).


练习册系列答案
相关题目

违法和不良信息举报电话:027-86699610 举报邮箱:58377363@163.com

精英家教网