题目内容

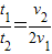
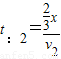
一质点向某一方向做直线运动,位移的前匀速运动的速度为v1,位移的后匀速运动的速度为v2,则通过这前后两段所用时间之比为    ;整段运动过程中的平均速度大小为   
【答案】分析:整个过程的平均速度等于总位移和总时间的比值.所以要求解整个过程的平均速度,只要求出总位移和总时间即可.
解答:解:前一段位移的时间为:
后一段位移的时间为:
所以通过这前后两段所用时间之比为
整段运动过程中的平均速度大小为=
故答案为:
点评:解决本题的关键掌握平均速度的定义式,以及知道整个过程的平均速度等于总位移和总时间的比值.
练习册系列答案
相关题目

第Ⅰ卷(选择题 共31分)

一、单项选择题.本题共5小题,每小题3分,共计15分.每小题只有一个选项符合题意.

1. 关于科学家和他们的贡献,下列说法中正确的是[来源:Www..com]

A.安培首先发现了电流的磁效应

B.伽利略认为自由落体运动是速度随位移均匀变化的运动

C.牛顿发现了万有引力定律,并计算出太阳与地球间引力的大小

D.法拉第提出了电场的观点,说明处于电场中电荷所受到的力是电场给予的

2.如图为一种主动式光控报警器原理图,图中R1R2为光敏电阻,R3R4为定值电阻.当射向光敏电阻R1R2的任何一束光线被遮挡时,都会引起警铃发声,则图中虚线框内的电路是

A.与门                  B.或门               C.或非门                  D.与非门

 


3.如图所示的交流电路中,理想变压器原线圈输入电压为U1,输入功率为P1,输出功率为P2,各交流电表均为理想电表.当滑动变阻器R的滑动头向下移动时

A.灯L变亮                                    B.各个电表读数均变大

C.因为U1不变,所以P1不变                              D.P1变大,且始终有P1= P2

4.竖直平面内光滑圆轨道外侧,一小球以某一水平速度v0A点出发沿圆轨道运动,至B点时脱离轨道,最终落在水平面上的C点,不计空气阻力.下列说法中不正确的是

A.在B点时,小球对圆轨道的压力为零

B.BC过程,小球做匀变速运动

C.在A点时,小球对圆轨道压力大于其重力

D.AB过程,小球水平方向的加速度先增加后减小

5.如图所示,水平面上放置质量为M的三角形斜劈,斜劈顶端安装光滑的定滑轮,细绳跨过定滑轮分别连接质量为m1m2的物块.m1在斜面上运动,三角形斜劈保持静止状态.下列说法中正确的是

A.若m2向下运动,则斜劈受到水平面向左摩擦力

B.若m1沿斜面向下加速运动,则斜劈受到水平面向右的摩擦力

C.若m1沿斜面向下运动,则斜劈受到水平面的支持力大于(m1+ m2+Mg

D.若m2向上运动,则轻绳的拉力一定大于m2g

二、多项选择题.本题共4小题,每小题4分,共计16分.每小题有多个选项符合题意.全部选对的得4分,选对但不全的得2分,错选或不答的得0分.

6.木星是太阳系中最大的行星,它有众多卫星.观察测出:木星绕太阳作圆周运动的半径为r1 周期为T1;木星的某一卫星绕木星作圆周运动的半径为r2 周期为T2.已知万有引力常量为G,则根据题中给定条件

A.能求出木星的质量

B.能求出木星与卫星间的万有引力

C.能求出太阳与木星间的万有引力

D.可以断定

7.如图所示,xOy坐标平面在竖直面内,x轴沿水平方向,y轴正方向竖直向上,在图示空间内有垂直于xOy平面的水平匀强磁场.一带电小球从O点由静止释放,运动轨迹如图中曲线.关于带电小球的运动,下列说法中正确的是

A.OAB轨迹为半圆

B.小球运动至最低点A时速度最大,且沿水平方向

C.小球在整个运动过程中机械能守恒

D.小球在A点时受到的洛伦兹力与重力大小相等

8.如图所示,质量为M、长为L的木板置于光滑的水平面上,一质量为m的滑块放置在木板左端,滑块与木板间滑动摩擦力大小为f,用水平的恒定拉力F作用于滑块.当滑块运动到木板右端时,木板在地面上移动的距离为s,滑块速度为v1,木板速度为v2,下列结论中正确的是

A.上述过程中,F做功大小为            

B.其他条件不变的情况下,F越大,滑块到达右端所用时间越长

C.其他条件不变的情况下,M越大,s越小

D.其他条件不变的情况下,f越大,滑块与木板间产生的热量越多

9.如图所示,两个固定的相同细环相距一定的距离,同轴放置,O1O2分别为两环的圆心,两环分别带有均匀分布的等量异种电荷.一带正电的粒子从很远处沿轴线飞来并穿过两环.则在带电粒子运动过程中

A.在O1点粒子加速度方向向左

B.从O1O2过程粒子电势能一直增加

C.轴线上O1点右侧存在一点,粒子在该点动能最小

D.轴线上O1点右侧、O2点左侧都存在场强为零的点,它们关于O1O2连线中点对称

 


第Ⅱ卷(非选择题 共89分)

三、简答题:本题分必做题(第lO、11题)和选做题(第12题)两部分,共计42分.请将解答填写在答题卡相应的位置.

必做题

10.测定木块与长木板之间的动摩擦因数时,采用如图所示的装置,图中长木板水平固定.

(1)实验过程中,电火花计时器应接在  ▲  (选填“直流”或“交流”)电源上.调整定滑轮高度,使  ▲ 

(2)已知重力加速度为g,测得木块的质量为M,砝码盘和砝码的总质量为m,木块的加速度为a,则木块与长木板间动摩擦因数μ=  ▲ 

(3)如图为木块在水平木板上带动纸带运动打出的一条纸带的一部分,0、1、2、3、4、5、6为计数点,相邻两计数点间还有4个打点未画出.从纸带上测出x1=3.20cm,x2=4.52cm,x5=8.42cm,x6=9.70cm.则木块加速度大小a=  ▲  m/s2(保留两位有效数字).

 


11.为了测量某电池的电动势 E(约为3V)和内阻 r,可供选择的器材如下:

A.电流表G1(2mA  100Ω)             B.电流表G2(1mA  内阻未知)

C.电阻箱R1(0~999.9Ω)                      D.电阻箱R2(0~9999Ω)

E.滑动变阻器R3(0~10Ω  1A)         F.滑动变阻器R4(0~1000Ω  10mA)

G.定值电阻R0(800Ω  0.1A)               H.待测电池

I.导线、电键若干

(1)采用如图甲所示的电路,测定电流表G2的内阻,得到电流表G1的示数I1、电流表G2的示数I2如下表所示:

I1(mA)

0.40

0.81

1.20

1.59

2.00

I2(mA)

0.20

0.40

0.60

0.80

1.00

 


根据测量数据,请在图乙坐标中描点作出I1I2图线.由图得到电流表G2的内阻等于

  ▲  Ω.

(2)在现有器材的条件下,测量该电池电动势和内阻,采用如图丙所示的电路,图中滑动变阻器①应该选用给定的器材中  ▲  ,电阻箱②选  ▲  (均填写器材代号).

(3)根据图丙所示电路,请在丁图中用笔画线代替导线,完成实物电路的连接.

 


12.选做题(请从A、B和C三小题中选定两小题作答,并在答题卡上把所选题目对应字母后的方框涂满涂黑.如都作答,则按A、B两小题评分.)

A.(选修模块3-3)(12分)

(1)下列说法中正确的是  ▲ 

A.液体表面层分子间距离大于液体内部分子间距离,液体表面存在张力

B.扩散运动就是布朗运动

C.蔗糖受潮后会粘在一起,没有确定的几何形状,它是非晶体

D.对任何一类与热现象有关的宏观自然过程进行方向的说明,都可以作为热力学第二定律的表述

(2)将1ml的纯油酸加到500ml的酒精中,待均匀溶解后,用滴管取1ml油酸酒精溶液,让其自然滴出,共200滴.现在让其中一滴落到盛水的浅盘内,待油膜充分展开后,测得油膜的面积为200cm2,则估算油酸分子的大小是  ▲  m(保留一位有效数字).

(3)如图所示,一直立的汽缸用一质量为m的活塞封闭一定量的理想气体,活塞横截面积为S,汽缸内壁光滑且缸壁是导热的,开始活塞被固定,打开固定螺栓K,活塞下落,经过足够长时间后,活塞停在B点,已知AB=h,大气压强为p0,重力加速度为g

①求活塞停在B点时缸内封闭气体的压强;

②设周围环境温度保持不变,求整个过程中通过缸壁传递的热量Q(一定量理想气体的内能仅由温度决定).

B.(选修模块3-4)(12分)

(1)下列说法中正确的是  ▲ 

A.照相机、摄影机镜头表面涂有增透膜,利用了光的干涉原理

B.光照射遮挡物形成的影轮廓模糊,是光的衍射现象

C.太阳光是偏振光

D.为了有效地发射电磁波,应该采用长波发射

(2)甲、乙两人站在地面上时身高都是L0, 甲、乙分别乘坐速度为0.6c和0.8cc为光速)的飞船同向运动,如图所示.此时乙观察到甲的身高L  ▲  L0;若甲向乙挥手,动作时间为t0,乙观察到甲动作时间为t1,则t1  ▲  t0(均选填“>”、“ =” 或“<”).

(3)x=0的质点在t=0时刻开始振动,产生的波沿x轴正方向传播,t1=0.14s时刻波的图象如图所示,质点A刚好开始振动.

①求波在介质中的传播速度;

②求x=4m的质点在0.14s内运动的路程.

   C.(选修模块3-5)(12分)

(1)下列说法中正确的是  ▲ 

A.康普顿效应进一步证实了光的波动特性

B.为了解释黑体辐射规律,普朗克提出电磁辐射的能量是量子化的

C.经典物理学不能解释原子的稳定性和原子光谱的分立特征

D.天然放射性元素衰变的快慢与化学、物理状态有关

(2)是不稳定的,能自发的发生衰变.

①完成衰变反应方程    ▲ 

衰变为,经过  ▲  α衰变,  ▲  β衰变.

(3)1919年,卢瑟福用α粒子轰击氮核发现质子.科学研究表明其核反应过程是:α粒子轰击静止的氮核后形成了不稳定的复核,复核发生衰变放出质子,变成氧核.设α粒子质量为m1,初速度为v0,氮核质量为m2,质子质量为m0, 氧核的质量为m3,不考虑相对论效应.

α粒子轰击氮核形成不稳定复核的瞬间,复核的速度为多大?

②求此过程中释放的核能.

四、计算题:本题共3小题,共计47分.解答时请写出必要的文字说明、方程式和重要的演算步骤,只写出最后答案的不能得分,有数值计算的题,答案中必须明确写出数值和单位.

13.如图所示,一质量为m的氢气球用细绳拴在地面上,地面上空风速水平且恒为v0,球静止时绳与水平方向夹角为α.某时刻绳突然断裂,氢气球飞走.已知氢气球在空气中运动时所受到的阻力f正比于其相对空气的速度v,可以表示为f=kvk为已知的常数).则

(1)氢气球受到的浮力为多大?

(2)绳断裂瞬间,氢气球加速度为多大?

(3)一段时间后氢气球在空中做匀速直线运动,其水平方向上的速度与风速v0相等,求此时气球速度大小(设空气密度不发生变化,重力加速度为g).

 


14.如图所示,光滑绝缘水平面上放置一均匀导体制成的正方形线框abcd,线框质量为m,电阻为R,边长为L.有一方向竖直向下的有界磁场,磁场的磁感应强度为B,磁场区宽度大于L,左边界与ab边平行.线框在水平向右的拉力作用下垂直于边界线穿过磁场区.

(1)若线框以速度v匀速穿过磁场区,求线框在离开磁场时ab两点间的电势差;

(2)若线框从静止开始以恒定的加速度a运动,经过t1时间ab边开始进入磁场,求cd边将要进入磁场时刻回路的电功率;

(3)若线框以初速度v0进入磁场,且拉力的功率恒为P0.经过时间Tcd边进入磁场,此过程中回路产生的电热为Q.后来ab边刚穿出磁场时,线框速度也为v0,求线框穿过磁场所用的时间t

      

15.如图所示,有界匀强磁场的磁感应强度为B,方向垂直纸面向里,MN为其左边界,磁场中放置一半径为R的圆柱形金属圆筒,圆心OMN的距离OO1=2R,圆筒轴线与磁场平行.圆筒用导线通过一个电阻r0接地,最初金属圆筒不带电.现有范围足够大的平行电子束以速度v0从很远处沿垂直于左边界MN向右射入磁场区,已知电子质量为m,电量为e

(1)若电子初速度满足,则在最初圆筒上没有带电时,能够打到圆筒上的电子对应MN边界上O1两侧的范围是多大?

(2)当圆筒上电量达到相对稳定时,测量得到通过电阻r0的电流恒为I,忽略运动电子间的相互作用,求此时金属圆筒的电势φ和电子到达圆筒时速度v(取无穷远处或大地电势为零).

(3)在(2)的情况下,求金属圆筒的发热功率.

 


 【选做题】本题包括A、B、C三小题,请选定其中两题,并在答题卡相应的答题区域内作答.若三题都做,则按A、B两题评分.

A.(选修模块3—3)(12分)

(1)在研究性学习的过程中,针对能源问题,大气污染问题同学们提出了如下四个活动方案,哪些从理论上讲是可行的

(A)发明一种制冷设备,使温度降至绝对零度以下

(B)汽车尾气中各类有害气体排入大气后严重污染了空气,想办法使它们自发地分离,既清洁了空气,又变废为宝

(C)某国际科研小组正在研制利用超导材料制成灯泡的灯丝和闭合电路.利用电磁感应激起电流后,由于电路电阻为零从而使灯泡一直发光

(D)由于太阳的照射,海洋表面的温度可达30℃左右,而海洋深处的温度要低得多,在水600~1000m的地方,水温约为4℃.据此,科学家研制了一种抗腐蚀的热交换器,利用海水温差发电

(2)秋天附着在树叶上的露水常呈球形,.这是因为________.水银放在某一固体容器中,其液面向下弯,说明水银_____这种固体(填“浸润”或“ 不浸润”).

(3)如图所示,在竖直放置绝热圆柱形容器内用质量为m的绝热活塞密封一部分气体,活塞与容器壁间能无摩擦滑动,容器的横截面积为S,开始时密闭气体的温度为T0,活塞与容器底的距离为h0.现将整个装置放在大气压恒为P0的空气中,当气体从外界吸收热量Q后,活塞缓慢上升d后再次平衡,问:

①此时密闭气体的温度是多少?

②在此过程中密闭气体的内能增加了多少?

B.(选修模块3—4)(12分)

(1)下列说法中正确的有      

(A)2010年4月14日早晨7时49分,青海省玉树藏族自治州玉树县发生7.1级地震,造成重大人员财产损失,地震波是机械波,地震波中既有横波也有纵波

(B)太阳能真空玻璃管采用镀膜技术增加透射光,这是利用了光的衍射原理

(C)相对论认为:真空中的光速在不同惯性参照系中是不相同的

(D)医院里用于检测的“彩超”的原理是:向病人体内发射超声波,经血  

液反射后被接收,测出反射波的频率变化,就可知血液的流速.这 

一技术应用了多普勒效应

(2)如图所示为一列简谐波在t1=0时刻的图象,此时波中质点M的运动方   

向沿y轴负方向,且到t2=0.55s质点M恰好第3次到达y轴正方向最大 

位移处,该波的传播方向为_____,波速为_______m/s.

(3)如图所示是一种折射率n=1.5的棱镜.现有一束光 线沿MN的方向射  

到棱镜的AB界面上,入射角的大小.求光在棱镜中传

播的速率及此束光线射出棱镜后的方向(不考虑返回到AB面上的光线).

C.(选修模块3—5)(12分)

(1)下列说法中正确的有_______.

(A)黑体辐射时电磁波的强度按波长的分布只与黑体的温度有关

(B)普朗克为了解释光电效应的规律,提出了光子说

(C)天然放射现象的发现揭示原子核有复杂的结构

(D)卢瑟福首先发现了质子和中子

(2)如图所示是使用光电管的原理图.当频率为v的可见光照射到阴极K上时,  

电流表中有电流通过.

  ①当变阻器的滑动端P        滑动时(填“左”或“右”),通过电流表的电流将会减小.

  ②当电流表电流刚减小到零时,电压表的读数为U,则光电子的最大初动能为

            (已知电子电荷量为e).

  ③如果不改变入射光的频率,而增加入射光的强度,则光电子的最大初动能将_____

(填“增加”、“减小”或“不变”).

(3)一炮弹质量为m,以一定的倾角斜向上发射,到达最高点时速度为v,炮弹在最高点爆炸成两块,

其中一块恰好做自由落体运动,质量为.则另一块爆炸后瞬时的速度大小____。

 

 

第六部分 振动和波

第一讲 基本知识介绍

《振动和波》的竞赛考纲和高考要求有很大的不同,必须做一些相对详细的补充。

一、简谐运动

1、简谐运动定义:= -k             

凡是所受合力和位移满足①式的质点,均可称之为谐振子,如弹簧振子、小角度单摆等。

谐振子的加速度:= -

2、简谐运动的方程

回避高等数学工具,我们可以将简谐运动看成匀速圆周运动在某一条直线上的投影运动(以下均看在x方向的投影),圆周运动的半径即为简谐运动的振幅A 。

依据:x = -mω2Acosθ= -mω2

对于一个给定的匀速圆周运动,m、ω是恒定不变的,可以令:

2 = k 

这样,以上两式就符合了简谐运动的定义式①。所以,x方向的位移、速度、加速度就是简谐运动的相关规律。从图1不难得出——

位移方程: = Acos(ωt + φ)                                        ②

速度方程: = -ωAsin(ωt +φ)                                     ③

加速度方程:= -ω2A cos(ωt +φ)                                   ④

相关名词:(ωt +φ)称相位,φ称初相。

运动学参量的相互关系:= -ω2

A = 

tgφ= -

3、简谐运动的合成

a、同方向、同频率振动合成。两个振动x1 = A1cos(ωt +φ1)和x2 = A2cos(ωt +φ2) 合成,可令合振动x = Acos(ωt +φ) ,由于x = x1 + x2 ,解得

A =  ,φ= arctg 

显然,当φ2-φ1 = 2kπ时(k = 0,±1,±2,…),合振幅A最大,当φ2-φ1 = (2k + 1)π时(k = 0,±1,±2,…),合振幅最小。

b、方向垂直、同频率振动合成。当质点同时参与两个垂直的振动x = A1cos(ωt + φ1)和y = A2cos(ωt + φ2)时,这两个振动方程事实上已经构成了质点在二维空间运动的轨迹参数方程,消去参数t后,得一般形式的轨迹方程为

+-2cos(φ2-φ1) = sin22-φ1)

显然,当φ2-φ1 = 2kπ时(k = 0,±1,±2,…),有y = x ,轨迹为直线,合运动仍为简谐运动;

当φ2-φ1 = (2k + 1)π时(k = 0,±1,±2,…),有+= 1 ,轨迹为椭圆,合运动不再是简谐运动;

当φ2-φ1取其它值,轨迹将更为复杂,称“李萨如图形”,不是简谐运动。

c、同方向、同振幅、频率相近的振动合成。令x1 = Acos(ω1t + φ)和x2 = Acos(ω2t + φ) ,由于合运动x = x1 + x2 ,得:x =(2Acost)cos(t +φ)。合运动是振动,但不是简谐运动,称为角频率为的“拍”现象。

4、简谐运动的周期

由②式得:ω=  ,而圆周运动的角速度和简谐运动的角频率是一致的,所以

T = 2π                                                      

5、简谐运动的能量

一个做简谐运动的振子的能量由动能和势能构成,即

mv2 + kx2 = kA2

注意:振子的势能是由(回复力系数)k和(相对平衡位置位移)x决定的一个抽象的概念,而不是具体地指重力势能或弹性势能。当我们计量了振子的抽象势能后,其它的具体势能不能再做重复计量。

6、阻尼振动、受迫振动和共振

和高考要求基本相同。

二、机械波

1、波的产生和传播

产生的过程和条件;传播的性质,相关参量(决定参量的物理因素)

2、机械波的描述

a、波动图象。和振动图象的联系

b、波动方程

如果一列简谐波沿x方向传播,振源的振动方程为y = Acos(ωt + φ),波的传播速度为v ,那么在离振源x处一个振动质点的振动方程便是

y = Acos〔ωt + φ - ·2π〕= Acos〔ω(t - )+ φ〕

这个方程展示的是一个复变函数。对任意一个时刻t ,都有一个y(x)的正弦函数,在x-y坐标下可以描绘出一个瞬时波形。所以,称y = Acos〔ω(t - )+ φ〕为波动方程。

3、波的干涉

a、波的叠加。几列波在同一介质种传播时,能独立的维持它们的各自形态传播,在相遇的区域则遵从矢量叠加(包括位移、速度和加速度的叠加)。

b、波的干涉。两列波频率相同、相位差恒定时,在同一介质中的叠加将形成一种特殊形态:振动加强的区域和振动削弱的区域稳定分布且彼此隔开。

我们可以用波程差的方法来讨论干涉的定量规律。如图2所示,我们用S1和S2表示两个波源,P表示空间任意一点。

当振源的振动方向相同时,令振源S1的振动方程为y1 = A1cosωt ,振源S1的振动方程为y2 = A2cosωt ,则在空间P点(距S1为r1 ,距S2为r2),两振源引起的分振动分别是

y1′= A1cos〔ω(t ? )〕

y2′= A2cos〔ω(t ? )〕

P点便出现两个频率相同、初相不同的振动叠加问题(φ1 =  ,φ2 = ),且初相差Δφ= (r2 – r1)。根据前面已经做过的讨论,有

r2 ? r1 = kλ时(k = 0,±1,±2,…),P点振动加强,振幅为A1 + A2 

r2 ? r1 =(2k ? 1)时(k = 0,±1,±2,…),P点振动削弱,振幅为│A1-A2│。

4、波的反射、折射和衍射

知识点和高考要求相同。

5、多普勒效应

当波源或者接受者相对与波的传播介质运动时,接收者会发现波的频率发生变化。多普勒效应的定量讨论可以分为以下三种情况(在讨论中注意:波源的发波频率f和波相对介质的传播速度v是恒定不变的)——

a、只有接收者相对介质运动(如图3所示)

设接收者以速度v1正对静止的波源运动。

如果接收者静止在A点,他单位时间接收的波的个数为f ,

当他迎着波源运动时,设其在单位时间到达B点,则= v1 ,、

在从A运动到B的过程中,接收者事实上“提前”多接收到了n个波

n = 

显然,在单位时间内,接收者接收到的总的波的数目为:f + n = f ,这就是接收者发现的频率f。即

f

显然,如果v1背离波源运动,只要将上式中的v1代入负值即可。如果v1的方向不是正对S ,只要将v1出正对的分量即可。

b、只有波源相对介质运动(如图4所示)

设波源以速度v2正对静止的接收者运动。

如果波源S不动,在单位时间内,接收者在A点应接收f个波,故S到A的距离:= fλ 

在单位时间内,S运动至S′,即= v2 。由于波源的运动,事实造成了S到A的f个波被压缩在了S′到A的空间里,波长将变短,新的波长

λ′= 

而每个波在介质中的传播速度仍为v ,故“被压缩”的波(A接收到的波)的频率变为

f2 = 

当v2背离接收者,或有一定夹角的讨论,类似a情形。

c、当接收者和波源均相对传播介质运动

当接收者正对波源以速度v1(相对介质速度)运动,波源也正对接收者以速度v2(相对介质速度)运动,我们的讨论可以在b情形的过程上延续…

f3 =  f2 = 

关于速度方向改变的问题,讨论类似a情形。

6、声波

a、乐音和噪音

b、声音的三要素:音调、响度和音品

c、声音的共鸣

第二讲 重要模型与专题

一、简谐运动的证明与周期计算

物理情形:如图5所示,将一粗细均匀、两边开口的U型管固定,其中装有一定量的水银,汞柱总长为L 。当水银受到一个初始的扰动后,开始在管中振动。忽略管壁对汞的阻力,试证明汞柱做简谐运动,并求其周期。

模型分析:对简谐运动的证明,只要以汞柱为对象,看它的回复力与位移关系是否满足定义式①,值得注意的是,回复力系指振动方向上的合力(而非整体合力)。当简谐运动被证明后,回复力系数k就有了,求周期就是顺理成章的事。

本题中,可设汞柱两端偏离平衡位置的瞬时位移为x 、水银密度为ρ、U型管横截面积为S ,则次瞬时的回复力

ΣF = ρg2xS = x

由于L、m为固定值,可令: = k ,而且ΣF与x的方向相反,故汞柱做简谐运动。

周期T = 2π= 2π

答:汞柱的周期为2π 。

学生活动:如图6所示,两个相同的柱形滚轮平行、登高、水平放置,绕各自的轴线等角速、反方向地转动,在滚轮上覆盖一块均质的木板。已知两滚轮轴线的距离为L 、滚轮与木板之间的动摩擦因素为μ、木板的质量为m ,且木板放置时,重心不在两滚轮的正中央。试证明木板做简谐运动,并求木板运动的周期。

思路提示:找平衡位置(木板重心在两滚轮中央处)→ú力矩平衡和Σ?F6= 0结合求两处弹力→ú求摩擦力合力…

答案:木板运动周期为2π 。

巩固应用:如图7所示,三根长度均为L = 2.00m地质量均匀直杆,构成一正三角形框架ABC,C点悬挂在一光滑水平轴上,整个框架可绕转轴转动。杆AB是一导轨,一电动松鼠可在导轨上运动。现观察到松鼠正在导轨上运动,而框架却静止不动,试讨论松鼠的运动是一种什么样的运动。

解说:由于框架静止不动,松鼠在竖直方向必平衡,即:松鼠所受框架支持力等于松鼠重力。设松鼠的质量为m ,即:

N = mg                            ①

再回到框架,其静止平衡必满足框架所受合力矩为零。以C点为转轴,形成力矩的只有松鼠的压力N、和松鼠可能加速的静摩擦力f ,它们合力矩为零,即:

MN = Mf

现考查松鼠在框架上的某个一般位置(如图7,设它在导轨方向上距C点为x),上式即成:

N·x = f·Lsin60°                 ②

解①②两式可得:f = x ,且f的方向水平向左。

根据牛顿第三定律,这个力就是松鼠在导轨方向上的合力。如果我们以C在导轨上的投影点为参考点,x就是松鼠的瞬时位移。再考虑到合力与位移的方向因素,松鼠的合力与位移满足关系——

= -k

其中k =  ,对于这个系统而言,k是固定不变的。

显然这就是简谐运动的定义式。

答案:松鼠做简谐运动。

评说:这是第十三届物理奥赛预赛试题,问法比较模糊。如果理解为定性求解,以上答案已经足够。但考虑到原题中还是有定量的条件,所以做进一步的定量运算也是有必要的。譬如,我们可以求出松鼠的运动周期为:T = 2π = 2π = 2.64s 。

二、典型的简谐运动

1、弹簧振子

物理情形:如图8所示,用弹性系数为k的轻质弹簧连着一个质量为m的小球,置于倾角为θ

违法和不良信息举报电话:027-86699610 举报邮箱:58377363@163.com

精英家教网