题目内容
如图所示,两个质量相同的物体A和B紧靠在一起,放在光滑的水平面上,如果它们分别受到水平推力
和
,而且
,则A施于B的作用力大小为
[ ]
A.
B.
C.
D.
答案:C
解析:
解析:
|
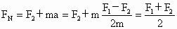
物体 A和B加速度相同,求它们之间的相互作用力,采取先整体后隔离的方法,先求出它们共同的加速度,然后再选取A或B为研究对象,求出它们之间的相互作用力.解:选取 A和B整体为研究对象,共同加速度a为:
再选取物体 B为研究对象,受力分析如图所示,根据牛顿第二定律:
此题也可以对物体 A进行隔离分析,利用此题可以一开始就用隔离法: 对于 A:对于 B:联立①②两式解得 |
练习册系列答案
相关题目