ÌâÄ¿ÄÚÈÝ
ÈçͼËùʾ£¬Ö±Ïߢñ¡¢¢ò·Ö±ðÊǵçÔ´1ÓëµçÔ´2µÄ·¶ËµçÑ¹ËæÊä³öµçÁ÷±ä»¯µÄÌØÐÔͼÏߣ¬ÇúÏߢóÊÇÒ»¸öСµÆÅݵķü°²ÌØÐÔÇúÏߣ¬Èç¹û°Ñ¸ÃСµÆÅÝÏȺó·Ö±ðÓëµçÔ´1ºÍµçÔ´2µ¥¶ÀÁ¬½Óʱ£¬ÔòÏÂÁÐ˵·¨²»ÕýÈ·µÄÊÇ£¨ £©A£®µçÔ´1ºÍµçÔ´2µÄÄÚ×èÖ®±ÈÊÇ11£º7
B£®µçÔ´1ºÍµçÔ´2µÄµç¶¯ÊÆÖ®±ÈÊÇ1£º1
C£®ÔÚÕâÁ½ÖÖÁ¬½Ó״̬Ï£¬Ð¡µÆÅÝÏûºÄµÄ¹¦ÂÊÖ®±ÈÊÇ1£º2
D£®ÔÚÕâÁ½ÖÖÁ¬½Ó״̬Ï£¬Ð¡µÆÅݵĵç×èÖ®±ÈÊÇ1£º2
¡¾´ð°¸¡¿·ÖÎö£ºÓɱպϵç·ŷķ¶¨ÂÉU=E-Ir£¬µçÔ´µÄU-IͼÏßÊÇÖ±Ïߣ¬rµÈÓÚµçÔ´µÄU-IͼÏßбÂʵĴóС£¬ÓÉбÂÊ¿ÉËã³öµçÔ´ÄÚ×裮µçÔ´U-IͼÓë×ÝÖáÖµ±íʾµç¶¯ÊÆ´óС£®µçÔ´ÓëµÆÅݵÄU-IͼÏߵĽ»µã±íʾµÆÅݽÓÔÚµçÔ´ÉϵŤ×÷״̬£¬¶Á³öµçѹ¡¢µçÁ÷£¬¿ÉÇó³öµÆÅݵŦÂÊ£®
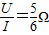
½â´ð£º½â£ºA¡¢ÓÉͼµÃµ½r1=
£¬r2=
£¬r1£ºr2=11£º7£¬¹ÊAÕýÈ·£®
B¡¢E1=10V£¬E2=10V£®E1£ºE2=1£º1£¬¹ÊBÕýÈ·£®
C¡¢µÆÅݽÓÔÚ¢ñµçÔ´ÉÏʱ£¬U=3V£¬I=5A£¬P=UI=15W£®µÆÅݽÓÔÚµçÔ´¢òÉÏ£¬U=5V£¬I=6A£¬P=UI=30W£¬¹ÊCÕýÈ·£®
D¡¢ÓÉÉÏ£¬R1=
£¬R2=
£¬R1£ºR2¡Ù1£º2¹ÊD´íÎó£®
±¾ÌâÑ¡´íÎóµÄ£¬¹ÊÑ¡D
µãÆÀ£º±¾Ì⽫µçÔ´µÄÍâÌØÐÔÇúÏߺ͵ÆÅݵķü°²ÌØÐÔÇúÏß×÷ÔÚͬһ·ùͼÉÏ£¬¹Ø¼üÔÚÓÚÀí½â½»µãµÄÎïÀíÒâÒ壮¶ÔÓÚ·ÇÏßÐÔÔª¼þ£¬µç×èR=
£¬²»ÄÜÓÃ
Çóµç×裮
½â´ð£º½â£ºA¡¢ÓÉͼµÃµ½r1=
B¡¢E1=10V£¬E2=10V£®E1£ºE2=1£º1£¬¹ÊBÕýÈ·£®
C¡¢µÆÅݽÓÔÚ¢ñµçÔ´ÉÏʱ£¬U=3V£¬I=5A£¬P=UI=15W£®µÆÅݽÓÔÚµçÔ´¢òÉÏ£¬U=5V£¬I=6A£¬P=UI=30W£¬¹ÊCÕýÈ·£®
D¡¢ÓÉÉÏ£¬R1=
±¾ÌâÑ¡´íÎóµÄ£¬¹ÊÑ¡D
µãÆÀ£º±¾Ì⽫µçÔ´µÄÍâÌØÐÔÇúÏߺ͵ÆÅݵķü°²ÌØÐÔÇúÏß×÷ÔÚͬһ·ùͼÉÏ£¬¹Ø¼üÔÚÓÚÀí½â½»µãµÄÎïÀíÒâÒ壮¶ÔÓÚ·ÇÏßÐÔÔª¼þ£¬µç×èR=
Á·Ï°²áϵÁдð°¸
Ïà¹ØÌâÄ¿