题目内容

如图所示,在xOy坐标平面的第一象限内存在一沿y轴正方向的匀强电场,在第四象限内存在一垂直于xOy平面向里的匀强磁场.现有一电子(质量为m、电荷量大小为e)以初速度v0从电场中坐标为(3L,L)的P点沿垂直于场强方向射入,然后从x轴上的A点(图中未画出)射入磁场.已知电场强度大小为,磁感应强度为.求:

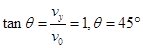
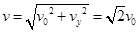
(1)电子在A点的速度大小及速度方向与x轴负方向的夹角;

(2)电子从磁场中出射点的位置坐标;

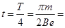
(3)电子在磁场中运动所用的时间.

 

【答案】

(1), 45°(2)坐标(0,0) (3)

【解析】

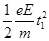
试题分析:(1)由P至A,电子在匀强电场中做类平抛运动,水平方向的位移为:x=v0t1,竖直方向的位移为:y=t1=L,解得

(2)由(1)问可知x=2L,所以A点坐标为(L,0),电子以速度进入匀强磁场,在磁场中做匀速圆周运动,,由几何关系可知电子从O点射出磁场,其坐标为(0,0)。

(3)电子在磁场中做圆周运动,轨迹对应的圆心角为90°,故 在磁场中的运动时间为

考点:带电粒子在组合场中的运动分析

 

练习册系列答案
相关题目

违法和不良信息举报电话:027-86699610 举报邮箱:58377363@163.com

精英家教网