题目内容

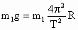
在某星球上,宇航员用弹簧秤称得质量为m的砝码重量为F,乘飞船在靠近该星球表面附近飞行,测得其环绕周期为T,根据这些数据求该星球的质量.

答案:略
解析:

宇航员用弹簧秤称得质量为m的砝码重量为F,则该星球表面的重力加速度g=F/m,星球对质量为m的物体的万有引力等于重力,星球对飞船的万有引力就是飞船绕星球做圆周运动的向心力,联立以上各式可得星球质量


练习册系列答案
相关题目

违法和不良信息举报电话:027-86699610 举报邮箱:58377363@163.com

精英家教网