题目内容

(合作讨论)如图所示,小球Q在竖直平面内做匀速圆周运动,当Q球转到图示位置时,有另一小球P在距圆周最高点为h处开始自由下落,要使两球在圆周最高点相碰,试讨论Q球的角速度ω应满足什么条件?

答案:略
解析:

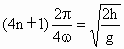
解:设P球做自由落体运动至圆周最高点的时间为t.由自由落体运动规律知Q球由图示位置转至最高点的时间也应是t,但Q球做匀速圆周运动,运动周期为T,由题意得

得:

所以


练习册系列答案
相关题目

违法和不良信息举报电话:027-86699610 举报邮箱:58377363@163.com

精英家教网