题目内容

如图所示,一个质量为m=2.0×10-11 kg,电荷量q=+1.0×10-5 C的带电微粒(重力忽略不计),从静止开始经U1=100 V电压加速后,水平进入两平行金属板间的偏转电场,偏转电场的电压U2=100 V.金属板长L=20 cm,两板间距dcm.求:

(1)微粒进入偏转电场时的速度v0大小

(2)微粒射出偏转电场时的偏转角

(3)若该匀强磁场的磁感应强度B=0.346 T,为使微粒不会由磁场右边射出,该匀强磁场的宽度D至少为多大

答案:
解析:

  解:(1)微粒在加速电场中由动能定理得

   解得v0=1.0×104 m/s  (2分)

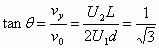
  (2)微粒在偏转电场中做类平抛运动,有

    (2分)

  飞出电场时,速度偏转角的正切为

   解得=30°  (2分)

  (3)进入磁场时微粒的速度是:  (2分)

  轨迹如图,由几何关系有:  (1分)

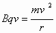
  洛伦兹力提供向心力:  (2分)

  联立以上三式得

  代入数据解得  (1分)


练习册系列答案
相关题目

违法和不良信息举报电话:027-86699610 举报邮箱:58377363@163.com

精英家教网