题目内容
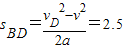
(1)BD间的水平距离.
(2)判断m2能否沿圆轨道到达M点.
(3)m2释放后在桌面上运动的过程中克服摩擦力做的功.
【答案】分析:(1)物块由D点做平抛运动,根据平抛运动的基本公式求出到达D点的速度,根据物块过B点后其位移与时间的关系得出初速度和加速度,进而根据位移-速度公式求出位移;
(2)物块在内轨道做圆周运动,在最高点有临界速度,则mg=
,根据机械能守恒定律,求出M点的速度,与临界速度进行比较,判断其能否沿圆轨道到达M点.
(3)由能量转化及守恒定律即可求出m2释放后在桌面上运动的过程中克服摩擦力做的功.
解答:解:(1)设物块由D点以vD做平抛,
落到P点时其竖直速度为
根据几何关系有:
解得vD=4m/s
根据物块过B点后其位移与时间的关系为x=6t-2t2,有:
在桌面上过B点后初速v=6m/s,加速度a=-4m/s2
所以BD间位移为
m
(2)设物块到达M点的临界速度为vm,有:

vM=
=
m/s
由机械能守恒定律得:
=
解得:
v′M=
m/s
因为
<
所以物块不能到达M点.
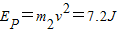
(3)设弹簧长为AC时的弹性势能为EP,物块与桌面间的动摩擦因数为μ,
释放m1时,EP=μm1gsCB
释放m2时
且m1=2m2,
可得:
m2释放后在桌面上运动过程中克服摩擦力做功为Wf,
则由能量转化及守恒定律得:
可得Wf=5.6J
答:(1)BD间的水平距离为2.5m;
(2)m2不能否沿圆轨道到达M点;
(3)m2释放后在桌面上运动的过程中克服摩擦力做的功为5.6J.
点评:该题涉及到多个运动过程,主要考查了机械能守恒定律、平抛运动基本公式、圆周运动向心力公式的应用,用到的知识点及公式较多,难度较大,属于难题.
(2)物块在内轨道做圆周运动,在最高点有临界速度,则mg=
(3)由能量转化及守恒定律即可求出m2释放后在桌面上运动的过程中克服摩擦力做的功.
解答:解:(1)设物块由D点以vD做平抛,
落到P点时其竖直速度为
根据几何关系有:
解得vD=4m/s
根据物块过B点后其位移与时间的关系为x=6t-2t2,有:
在桌面上过B点后初速v=6m/s,加速度a=-4m/s2
所以BD间位移为
(2)设物块到达M点的临界速度为vm,有:
vM=
由机械能守恒定律得:
解得:
v′M=
因为
所以物块不能到达M点.
(3)设弹簧长为AC时的弹性势能为EP,物块与桌面间的动摩擦因数为μ,
释放m1时,EP=μm1gsCB
释放m2时
且m1=2m2,
可得:
m2释放后在桌面上运动过程中克服摩擦力做功为Wf,
则由能量转化及守恒定律得:
可得Wf=5.6J
答:(1)BD间的水平距离为2.5m;
(2)m2不能否沿圆轨道到达M点;
(3)m2释放后在桌面上运动的过程中克服摩擦力做的功为5.6J.
点评:该题涉及到多个运动过程,主要考查了机械能守恒定律、平抛运动基本公式、圆周运动向心力公式的应用,用到的知识点及公式较多,难度较大,属于难题.
练习册系列答案
相关题目
A、
| ||||
B、
| ||||
| C、mgH-mgh | ||||
D、
|
如图所示,水平桌面上的A点处有一个质量为m的物体以初速度v0被抛出,不计空气阻力,当它到达B点时,其动能的表达式正确的是( ) ![]()
| A. | B. |
| C.mgH-mgh | D. |