题目内容

真空中两个同性的点电荷q1、q2,它们相距较近,保持静止.释放q2 且q2只在q1的库仑力作用下运动,则q2在运动过程中受到的库仑力( )
A.不断减小
B.不断增加
C.始终保持不变
D.先增大后减小
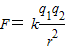
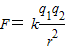
【答案】分析:本题比较简单,由题可知小球受斥力,距离越来越远,因此直接利用库仑定律公式即可求解.
解答:解:带电相同的小球受斥力作用,因此距离越来越远,由于电量保持不变,根据可知距离增大,电场力将逐渐减小,故BCD错误,A正确.
故选A.
点评:对于库仑定律公式,要明确其使用条件和各个物理量的含义.
练习册系列答案
相关题目

违法和不良信息举报电话:027-86699610 举报邮箱:58377363@163.com

精英家教网