题目内容

如图所示,在光滑的水平面上有一长为L的木板B,上表面粗糙,在其左端有一光滑的1/4圆弧槽C,与长木板接触但不相连,圆弧槽的下端与木板上表面相平,B、C静止在水平面上。现有滑块A以初速从右端滑上B,并以1/2 滑离B,恰好能到达C的最高点。A、B、C的质量均为m,试求:

(1)木板B上表面的动摩擦因素μ;

(2)1/4圆弧槽C的半径R;

 

【答案】

(1)    (2)

【解析】

试题分析:(1)当A在B上滑动时,A与BC整体发生作用,由于水平面光滑,A与BC组成的系统动量守恒,,(2分) 

系统动能的减小量等于滑动过程中产生的内能, ,(1分),(2分)

(1分)

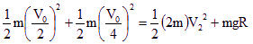
(2)当A滑上C,B与C分离,A与C发生作用,设到达最高点时速度相等为V2,由于水平面光滑,A与C组成的系统动量守恒, ,得(3分)

A与C组成的系统机械能守恒,(2分)

(1分)

考点:本题考查动量守恒定律、能量守恒定律、机械能守恒定律。

 

练习册系列答案
相关题目

违法和不良信息举报电话:027-86699610 举报邮箱:58377363@163.com

精英家教网