题目内容

一质量为M的长木板,静止在光滑水平面上,一质量为m的小滑块以水平速度从长木板的一端开始在木板上滑动,直到离开木板,滑块刚离开木板时的速度为.若把此木板固定在水平桌面上,其他条件相同,求滑块离开木板时的速度v.

答案:
解析:

  解:设滑块离开木板时的速度为v,对于第一种情况,在光滑水平面上,把M与滑块m看作一个系统,在水平方向上不受外力,动量守恒.所以,根据动量守恒定律得:,长木板的速度为

  

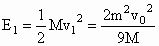
  所以此时长木板M的动能为

  

  损失的动能转化为内能,根据能量守恒定律可知,转化为内能的动能为:

  Δ

  当把长木板固定时,损耗的能量仍为

  由能量守恒定律:

  解得

  所以滑块离开木板时的速度为


练习册系列答案
相关题目

违法和不良信息举报电话:027-86699610 举报邮箱:58377363@163.com

精英家教网