题目内容

如图,细绳的一端固定于点,另一端系一个小球,在点的正下方钉一个钉子,且的距离等于绳长l的一半,把小球拿至与悬点等高的位置(绳保持伸直)由静止释放,当细绳碰到钉子前后的瞬间,绳对小球的拉力多大?又当小球运动到与钉子等高的位置时,绳的拉力是多大?

 
答案:3mg,5mg;2mg
解析:

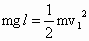
小球从静止开始到运动到最低点的过程中,绳的拉力不做功,只有重力做功,则由机械能守恒定律可得:

  ①

以最低点的重力势能为0

绳碰到钉子前的瞬间,小球的运动半径r=l,速度沿水平方向,此时球受绳的拉力和重力mg,根据牛顿第二定律得:

  ②

拉力与重力mg的合力提供向心力

由①、②可解得:

在绳碰到钉子后的瞬间,小球的运动半径,速度仍为,且方向不变,同理可得:

由①、③可解得

又当球运动到与钉子等的位置时,设速度为,由机械能守恒定律得

  ④

所在水平面为O势能面

小球受水平绳的拉力和向下重力mg,在这一位置,小球的向心力即绳的拉力,则

由①、⑤解得=2mg


练习册系列答案
相关题目

违法和不良信息举报电话:027-86699610 举报邮箱:58377363@163.com

精英家教网