ÌâÄ¿ÄÚÈÝ

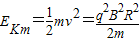
»ØÐý¼ÓËÙÆ÷ÊǼÓËÙ´øµçÁ£×ÓµÄ×°Öã¬ÆäºËÐIJ¿·ÖÊÇ·Ö±ðÓë¸ßƵ½»Á÷µçÁ½¼«ÏàÁ¬½ÓµÄÁ½¸öDÐνðÊôºÐ£¬Á½ºÐ¼äµÄÏÁ·ìÖÐÐγɵÄÖÜÆÚÐԱ仯µÄÔÈÇ¿µç³¡£¬Ê¹Á£×ÓÔÚͨ¹ýÏÁ·ìʱ¶¼Äܵõ½¼ÓËÙ£¬Á½DÐνðÊôºÐ´¦ÓÚ´¹Ö±Óںе×ÃæµÄÔÈÇ¿´Å³¡ÖУ¬ÈçͼËùʾ£¬ÉèÔÈÇ¿´Å³¡µÄ´Å¸ÐӦǿ¶ÈΪB£¬DÐνðÊôºÐµÄ°ë¾¶ÎªR£¬ÏÁ·ì¼äµÄ¾àÀëΪd£®ÔÈÇ¿µç³¡¼äµÄ¼ÓËÙµçѹΪU£¬ÒªÔö´ó´øµçÁ£×Ó£¨µçºÉµçΪq¡¢ÖÊÁ¿Îªm£¬²»¼ÆÖØÁ¦£©Éä³öʱµÄ¶¯ÄÜ£¬ÔòÏÂÁз½·¨ÖÐÕýÈ·µÄÊÇ£¨ £©
A£®Ôö´óÔÈÇ¿µç³¡¼äµÄ¼ÓËÙµçѹ
B£®¼õСÏÁ·ì¼äµÄ¾àÀë
C£®Ôö´ó´Å³¡µÄ´Å¸ÐӦǿ¶È
D£®¼õСDÐνðÊôºÐµÄ°ë¾¶
¡¾´ð°¸¡¿·ÖÎö£ºµ±Á£×Ó´ÓDÐκÐÖгöÀ´Ê±ËÙ¶È×î´ó£¬¸ù¾ÝÇó³ö×î´óËÙ¶È£¬ÔÙ¸ù¾ÝÇó³ö×î´ó¶¯ÄÜ£¬¿´ÓëʲôÒòËØÓйأ®
½â´ð£º½â£º¸ù¾ÝµÃ£¬Á£×ÓµÄ×î´óËÙ¶Èv=£¬Ôò×î´ó¶¯ÄÜ£®ÖªÔö´ó¶¯ÄÜ£¬ÐèÔö´óDÐκеİ뾶£¬»òÔö´ó´Å¸ÐӦǿ¶È£®¹ÊCÕýÈ·£¬A¡¢B¡¢D´íÎó£®
¹ÊÑ¡C£®
µãÆÀ£º½â¾ö±¾ÌâµÄ¹Ø¼üÖªµÀ¸ù¾Ý¿ÉÇó³ö×î´óËÙ¶È£¬ÒÔ¼°ÖªµÀ×î´ó¶¯ÄÜÓëDÐκеİ뾶ºÍ´Å¸ÐӦǿ¶ÈµÄ´óСÓйأ®
Á·Ï°²áϵÁдð°¸
Ïà¹ØÌâÄ¿

Î¥·¨ºÍ²»Á¼ÐÅÏ¢¾Ù±¨µç»°£º027-86699610 ¾Ù±¨ÓÊÏ䣺58377363@163.com

¾«Ó¢¼Ò½ÌÍø