题目内容

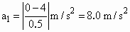
利用如图所示的装置测量滑块和滑板间的动摩擦因数.将质量为M的滑块A放在倾斜滑板B上,C为位移传感器,它能将滑块A到传感器C的距离数据实时传送到计算机上,经计算机处理后在屏幕上显示出滑块A的速度——时间(v-t)图像.先给滑块A一个沿滑板B向上的初速度,得到的v-t如图所示,求:

(1)滑块A上滑时加速度的大小;

(2)滑块与滑板之间的动摩擦因数(取重力加速度g=10 m/s2).

答案:
解析:

  解析:(1)

  (2)A下滑时的加速度

  

  由牛顿第二定律

  A上滑时:

  A下滑时:

  解得:


练习册系列答案
相关题目
精英家教网I.有同学利用如图所示的装置来验证力的平行四边形定则:在竖直木板上铺有白纸,固定两个光滑的滑轮A和B,将绳子打一个结点O,每个钩码的质量相等,当系统达到平衡-时,根据钩码个数读出三根绳子的拉力TOA、TOB和TOC,回答下列问题:
(1)改变钩码个数,实验能完成的是
 

A.钩码的个数N1=N2=2,N3=4
B.钩码的个数N1=N3=3,N2=4
C.钩码的个数N1=N2=N3=4
D.钩码的个数N1=3,N2=4,N3=5
(2)在拆下钩码和绳子前,应该做好三个方面的记录:
 

 

 

II.有两组同学进行了如下实验:
(1)甲组同学器材有:电源,滑动变阻器,电流表A1(0-200mA,内阻约11Ω),电流表A2(0-300mA,内阻约8Ω,定值电阻R1=24Ω,R2=12Ω,开关一个,导线若干.为了测量A1的内阻,该组同学共设计了下图中A、B、C、D四套方案:
精英家教网
其中最佳的方案是
 
套,若用此方案测得A1、A2示数分别为180mA和270mA,则A1的内阻为
 
Ω.
(2)乙组同学将甲组同学的电流表A1拿过来,再加上电阻箱R(最大阻值9.9Ω),定值电阻R0=6.0Ω,一个开关和若干导线用来测量一个电源(电动势E约为6.2V,内阻r约为2.1Ω)的电动势及内阻.请在图2方框中画出设计电路图.
若记录实验中电阻箱的阻值R和对应的A1示数的倒数
1
I
,得到多组数据后描点作出R-
1
I
图线如图2所示,则该电源的电动势E=
 
V,内阻r=
 
Ω.(结果保留两位有效数字)
精英家教网

违法和不良信息举报电话:027-86699610 举报邮箱:58377363@163.com

精英家教网