题目内容
质量为m=1kg的小木块(可看成质点),放在质量为M=5kg的长木板的左端,如图所示.长木板放在光滑的水平桌面上.小木块与长木板间的动摩擦因数μ=0.1,长木板的长度l=2m.系统处于静止状态.现使小木块从长木板右端脱离出来,可采取下列两种方法:(g取10m/s2)(1)给小木块施加水平向右的恒定外力F,F作用时间t=2s.则F至少是多大?
(2)给小木块一个水平向右的冲量I,则冲量I至少是多大?
【答案】分析:(1)给小木块施加水平向右的恒定外力F,小木块向右做匀加速运动,长木板也向右做匀加速运动,撤去F后木块向右做功匀减速运动,木板继续向右做匀加速运动,当木块恰好滑到木板的右端时,木块与木板的位移之差等于板长,两者速度相等.根据动量定理、能量守恒定律和位移关系结合求解F的大小;
(2)给小木块一个水平向右的冲量I,使木块获得一个初速度,当木块恰好滑到木板的右端时,两者速度相等时,I最小.根据动量定理、系统的动量守恒和能量守恒求解I的最小值.
解答:解:(1)设F刚撤去时,木块与木板的速度分别为v1和v2,当木块恰好滑到木板的右端时,两者共同速度为v.
对于F作用过程,根据动量定理得:
对整体:Ft=mv1+Mv2 ①
对木板:μmgt=Mv2 ②
此过程木块在木板滑行的距离S1=
-
③
对整体过程有,Ft=(m+m)v ④
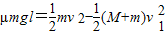
对于撤去F到木块滑到木板右端的过程,设木块相对于木板滑行的距离为S2,根据能量守恒定律得
μmgS2=
+
⑤
又S1+S2=l,⑥
联立以上6式,解得,F=1.85N
(2)当木块恰好滑到木板的右端时,两者速度相等,I最小,则由系统动量守恒
mv=(m+M)v1
解得
由能量守恒得
解得
由动量定理得
答:(1)给小木块施加水平向右的恒定外力F,F作用时间t=2s.F至少是2.2N;
(2)给小木块一个水平向右的冲量I,则冲量I至少是
.
点评:第1题的解题关键是抓住木块与木板的位移关系;第2题关键是抓住隐含的临界状态:木块恰好滑到木板的右端时,两者速度相等,根据动量守恒和能量守恒结合求解.
(2)给小木块一个水平向右的冲量I,使木块获得一个初速度,当木块恰好滑到木板的右端时,两者速度相等时,I最小.根据动量定理、系统的动量守恒和能量守恒求解I的最小值.
解答:解:(1)设F刚撤去时,木块与木板的速度分别为v1和v2,当木块恰好滑到木板的右端时,两者共同速度为v.
对于F作用过程,根据动量定理得:
对整体:Ft=mv1+Mv2 ①
对木板:μmgt=Mv2 ②
此过程木块在木板滑行的距离S1=
对整体过程有,Ft=(m+m)v ④
对于撤去F到木块滑到木板右端的过程,设木块相对于木板滑行的距离为S2,根据能量守恒定律得
μmgS2=
又S1+S2=l,⑥
联立以上6式,解得,F=1.85N
(2)当木块恰好滑到木板的右端时,两者速度相等,I最小,则由系统动量守恒
mv=(m+M)v1
解得
由能量守恒得
解得
由动量定理得
答:(1)给小木块施加水平向右的恒定外力F,F作用时间t=2s.F至少是2.2N;
(2)给小木块一个水平向右的冲量I,则冲量I至少是
点评:第1题的解题关键是抓住木块与木板的位移关系;第2题关键是抓住隐含的临界状态:木块恰好滑到木板的右端时,两者速度相等,根据动量守恒和能量守恒结合求解.
练习册系列答案
相关题目