题目内容

将小球以10m/s的速度斜向上抛出,速度方向与水平方向成30°角,求小球在0.8s内的位移及0.8s末的速度.(g取)

答案:略
解析:

与水平方向成q 角,9.2m/s,与水平方向成a 角,,水平方向速度

水平位移

竖直方向初速度

0.8s内的竖直位移

0.8s末的竖直速度

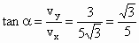
位移大小,与水平方向的夹角为q,则,即.速度大小为,与水平方向夹角为a,则,即


练习册系列答案
相关题目

违法和不良信息举报电话:027-86699610 举报邮箱:58377363@163.com

精英家教网