题目内容

两物体质量之比为mA:mB=2:1, 它们具有相同的动能, 则它们速度大小之比为v1:v2=_______, 它们动量大小之比P1:P2=_____.

[  ]

A.1:1.4  B.1.4:1  C.1:0.7  D.0.7:1

答案:A;C
解析:

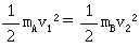
解:  因为

所以

P1=mA·v1   P2=mB·v2


练习册系列答案
相关题目

违法和不良信息举报电话:027-86699610 举报邮箱:58377363@163.com

精英家教网